jk.zdjt.com.png?v=1
87914837b0051bf03a4c0e57bf8c28ad
ºË»ÆËØÁ×ËáįעÉäÒº
¡¾³É¡¡¡¡·Ý¡¿ºË»ÆËØÁ×ËáÄÆ
¡¾Ö°ÄÜÖ÷ÖΡ¿ºË»ÆËز¹³ä¼Á¡£ÓÃÓÚÓɺ˻ÆËز»×ãÒýÆðµÄ³³×ìÑס¢´½Ñס¢ÉàÑס¢ÑÛ½áĤÑ×¼°ÒõÄÒÑ׵ȼ²²¡µÄÒ½ÖΡ£
¡¾¹æ¡¡¡¡¸ñ¡¿2ml:5mg£¨°´ºË»ÆËؼƣ©¡¢2ml:10mg£¨°´ºË»ÆËؼƣ©
¡¾ºË×¼Îĺš¿¹úÒ©×¼×ÖH20093989
²úÆ·×¢Ã÷

¡¾Ò©Æ·Ãû³Æ¡¿Í¨ÓÃÃû³Æ£ººË»ÆËØÁ×ËáįעÉäÒº

            Ó¢ÎÄÃû³Æ£ºRiboflavin Sodium Phosphate Injection

            ººÓïÆ´Òô£ºHehuangsu Linsuanna Zhusheye

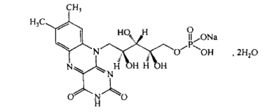
¡¾³É    ·Ý¡¿±¾Æ·ÖØÒª³É·ÝΪºË»ÆËØÁ×ËáÄÆ£¬Æä»¯Ì¨¸¦³ÆÎªºË»ÆËØ5¡ä¨C£¨¶þÇâÁ×Ëáõ¥£©µ¥ÄÆÑζþË®ºÏÎï¡£

            Æä½á¹¹Ê½Îª£º 

                       ºË»ÆËØÁ×ËáįעÉäÒº.png         

            ·Ö×Óʽ£ºC17H20N4NaO9P¡¤2H2O

            ·Ö×ÓÁ¿£º514.36

¡¾ÐÔ    ×´¡¿±¾Æ·Îª»ÆÉ«ÖÁ³È»ÆÉ«µÄ³ÎÃ÷ÒºÌ壻Óö¹âÒ×±äÖÊ¡£

¡¾ÊÊ Ó¦ Ö¢¡¿ºË»ÆËز¹³ä¼Á¡£ÓÃÓÚÓɺ˻ÆËز»×ãÒýÆðµÄ³³×ìÑס¢´½Ñס¢ÉàÑס¢ÑÛ½áĤÑ×¼°ÒõÄÒÑ׵ȼ²²¡µÄÒ½ÖΡ£

¡¾¹æ    ¸ñ¡¿2ml£º5mg£¨°´ºË»ÆËؼƣ©¡¢2ml£º10mg£¨°´ºË»ÆËؼƣ©

¡¾Ó÷¨ÓÃÁ¿¡¿Æ¤Ï¡¢¼¡ÄÚ×¢Éä»ò¾²×¢¡£Ò»´Î5¡«30mg£¬Ò»ÈÕ1´Î¡£

¡¾²»Á¼·´Ó³¡¿1.ÉöÖ°ÄÜÕý³£Ê±£¬±¾Ò©ÏÕЩ²»²úÉú¶¾ÐÔ¡£

            2.żÓйýÃô·´Ó³¡£  

¡¾½û    ¼É¡¿¶Ô±¾Ò©¹ýÃôÕß½ûÓá£

¡¾µ±¿àÖÔÏî¡¿´óÁ¿Ê¹Óñ¾Ò©ºóÄòÒº³Ê»ÆÉ«£¨»ò»ÆÂÌÉ«£©£¬Ò²¿ÉÒýÆðÀàËÆ¼××´ÏÙÖ°ÄÜ¿º½øÖ¢×´¡£    

¡¾Ôи¾¼°²¸ÈéÆÚ¸¾Å®ÓÃÒ©¡¿1.±¾Ò©¶Ô»³Ì¥µÄÓ°ÏìÉв»Ã÷È·¡£

                        2.±¾Ò©¿ÉÅÅйÈëÈéÖ­£¬µ«²¸ÈéÊǰ²È«µÄ¡£

¡¾¶ùͯÓÃÒ©¡¿Éв»Ã÷È·¡£

¡¾ÀÏÄêÓÃÒ©¡¿Éв»Ã÷È·¡£

¡¾Ò©ÎïÏ໥×÷Óῼ×ÑõÂÈÆÕ°·¿É½µµÍ±¾Ò©ÎüÊÕ¡£¹Ê²»Ò˺ÏÓá£

¡¾Ò©Îï¹ýÁ¿¡¿Éв»Ã÷È·¡£

¡¾Ò©Àí¶¾Àí¡¿Ò©Àí×÷Óà   ±¾Æ·ÎªÎ¬ÉúËØÀàÒ©¡£ºË»ÆËØ£¨Î¬ÉúËØB2£©ÊÇÈËÌå³ÁÒªÓªÑøËØ£¬ÔÚÄÜÁ¿´úлÖÐÆð¹Ø¼ü×÷Óá£

            ±¾Ò©Îª»ÆËص¥ºËÜÕËᣨFMN£©ºÍ»ÆËØÏÙàÑßʶþºËÜÕËᣨFAD£©Ç°ÌåÒ©£¬¶øFMNºÍFADÊÇ»ÆËØÃ¸¼Ò×åµÄ³ÁÒª¸¨ÖúÒò×Ó¡£»ÆËØÃ¸´ß»¯ºÃ¶àÉú»¯·´Ó³£¬×îµäÐ͵ÄΪÑõ»¯»¹Ô­·´Ó³£¬ËüÃÇÊÇϸ°ûºôÎüµÄ¹Ø¼üÒò×Ó¡£FADºÍ FMNÔÚÏßÁ£Ì嶯µ¯Á´ÖеÝÇ⣬Ôڴ˹ý³ÌÖвúÉúϸ°ûÄÜÁ¿¡£²»×ãʱ¿ÉÓ°Ïì»úÌåµÄÉúÎïÑõ»¯£¬Ê¹´úл²úÉú×è°­£¬Æä²¡±ä¶à²û·¢Îª¿Ú¡¢ÑÛ¡¢±íÉúÖ³Æ÷²¿Î»µÄÑ×Ö¢¡£

¡¾Ò©´ú¶¯Á¦Ñ§¡¿ÎÞ±¾Ò©×¢Éä¸øÒ©µÄÒ©´ú¶¯Á¦Ñ§×ÊÁÏ¡£

              ¾ÝÎļþ×ÊÁÏ£¬ºË»ÆËؿڷþºó£¬ÖØÒªÔÚ½ü¶ÎÓ׳¦ÎüÊÕ£¬Ê³Æ·ÄÜÍÆ½ø¸ÃÆ·ÎüÊÕ£¬µ¨Ñμӿì¸ÃÆ·ÎüÊÕ¡£ÔÚ2¡«25mg¼ÁÁ¿ÁìÓòÄÚ£¬ÆäÉúÎïÀûÓöÈΪ50¡«60%£¬µ¥´Î¿Ú·þµÄ×î´óÎüÊÕÁ¿Îª27mg£¬³¬Á¿²¿ÃÅ´Ó·à±ãÖÐÉø³ö¡£»ÆËص¥ºËÜÕËᣨFMN£©ºÍ»ÆËØÏÙàÑßʶþºËÜÕËᣨFAD£©ÎüÊÕ½ÏÉÙ¡£±¾Ò©¾­Ãž²ÂöÈë¸Î½øÈëѪҺѭ»·£¬ÔÙ´ïµ½×éÖ¯¡£´ó²¿ÃÅѪÇåºË»ÆËر»°×µ°°×»òÃâÒßÇòµ°°×תÔË£¬Í¨¹ýŨ¶ÈÌݶÈÃÖÉ¢ÖÁϸ°ûÄÚ¡£ÔÚϸ°ûÄÚ£¬ºË»ÆËØÍ¨¹ý»ÆËؼ¤Ã¸×ª»»ÎªFMN£¬FMNÓÖͨ¹ýFADºÏ³Éøת»»³ÉΪFAD£¬FADÊÇ×éÖ¯Öк˻ÆËصÄÖØÒª´æÔÚ´ó¾Ö¡£³¬¹ýÉí¶Î±ØÒªÁ¿µÄºË»ÆËØÖØÒª´ÓÉöÔàÉø³ö£¬²¿ÃÅ´úл²úÆ·Ò²´ÓÉöÔàÅųö¡£±¾Ò©¿Ú·þ»ò¼¡Èâ×¢ÉäµÄ°ëË¥ÆÚΪ66¡«84·ÖÖÓ¡£  

¡¾Öü    ²Ø¡¿Õڹ⣬Ãܹأ¨10¡«30¡æ£©±£Áô¡£

¡¾°ü    ×°¡¿°²ê³×°£¬10Ö§/ºÐ¡£

¡¾ÓРЧ ÆÚ¡¿12¸öÔ¡£

¡¾Ö´Ðг߶ȡ¿¡¶ÖйúÒ©µä¡·2015Äê°æ¶þ²¿

¡¾ºË×¼Îĺš¿¹úÒ©×¼×ÖH20093989

¡¾³ö²úÆóÒµ¡¿ÆóÒµÃû³Æ£ºÉ½Î÷Å·²©ABG̩ʢÔìÒ©ÓÐÏÞ¹«Ë¾

            ³ö²úµØÖ·£ºÉ½Î÷Ê¡´óͬÊо­¼Ã¼¼Êõ¿ª·¢ÇøµÚÒ»Ò½Ò©Ô°Çø

            ÓÊÕþ±àÂ룺037300

            µç»°ºÅÂ룺0352-7290991

            ´«ÕæºÅÂ룺0352-7290990

87914837b0051bf03a4c0e57bf8c28ad
ºË»ÆËØÁ×ËáįעÉäÒº
¡¾³É¡¡¡¡·Ý¡¿ºË»ÆËØÁ×ËáÄÆ
¡¾Ö°ÄÜÖ÷ÖΡ¿ºË»ÆËز¹³ä¼Á¡£ÓÃÓÚÓɺ˻ÆËز»×ãÒýÆðµÄ³³×ìÑס¢´½Ñס¢ÉàÑס¢ÑÛ½áĤÑ×¼°ÒõÄÒÑ׵ȼ²²¡µÄÒ½ÖΡ£
¡¾¹æ¡¡¡¡¸ñ¡¿2ml:5mg£¨°´ºË»ÆËؼƣ©¡¢2ml:10mg£¨°´ºË»ÆËؼƣ©
¡¾ºË×¼Îĺš¿¹úÒ©×¼×ÖH20093989
²úÆ·×¢Ã÷

¡¾Ò©Æ·Ãû³Æ¡¿Í¨ÓÃÃû³Æ£ººË»ÆËØÁ×ËáįעÉäÒº

            Ó¢ÎÄÃû³Æ£ºRiboflavin Sodium Phosphate Injection

            ººÓïÆ´Òô£ºHehuangsu Linsuanna Zhusheye

¡¾³É    ·Ý¡¿±¾Æ·ÖØÒª³É·ÝΪºË»ÆËØÁ×ËáÄÆ£¬Æä»¯Ì¨¸¦³ÆÎªºË»ÆËØ5¡ä¨C£¨¶þÇâÁ×Ëáõ¥£©µ¥ÄÆÑζþË®ºÏÎï¡£

            Æä½á¹¹Ê½Îª£º 

                       ºË»ÆËØÁ×ËáįעÉäÒº.png         

            ·Ö×Óʽ£ºC17H20N4NaO9P¡¤2H2O

            ·Ö×ÓÁ¿£º514.36

¡¾ÐÔ    ×´¡¿±¾Æ·Îª»ÆÉ«ÖÁ³È»ÆÉ«µÄ³ÎÃ÷ÒºÌ壻Óö¹âÒ×±äÖÊ¡£

¡¾ÊÊ Ó¦ Ö¢¡¿ºË»ÆËز¹³ä¼Á¡£ÓÃÓÚÓɺ˻ÆËز»×ãÒýÆðµÄ³³×ìÑס¢´½Ñס¢ÉàÑס¢ÑÛ½áĤÑ×¼°ÒõÄÒÑ׵ȼ²²¡µÄÒ½ÖΡ£

¡¾¹æ    ¸ñ¡¿2ml£º5mg£¨°´ºË»ÆËؼƣ©¡¢2ml£º10mg£¨°´ºË»ÆËؼƣ©

¡¾Ó÷¨ÓÃÁ¿¡¿Æ¤Ï¡¢¼¡ÄÚ×¢Éä»ò¾²×¢¡£Ò»´Î5¡«30mg£¬Ò»ÈÕ1´Î¡£

¡¾²»Á¼·´Ó³¡¿1.ÉöÖ°ÄÜÕý³£Ê±£¬±¾Ò©ÏÕЩ²»²úÉú¶¾ÐÔ¡£

            2.żÓйýÃô·´Ó³¡£  

¡¾½û    ¼É¡¿¶Ô±¾Ò©¹ýÃôÕß½ûÓá£

¡¾µ±¿àÖÔÏî¡¿´óÁ¿Ê¹Óñ¾Ò©ºóÄòÒº³Ê»ÆÉ«£¨»ò»ÆÂÌÉ«£©£¬Ò²¿ÉÒýÆðÀàËÆ¼××´ÏÙÖ°ÄÜ¿º½øÖ¢×´¡£    

¡¾Ôи¾¼°²¸ÈéÆÚ¸¾Å®ÓÃÒ©¡¿1.±¾Ò©¶Ô»³Ì¥µÄÓ°ÏìÉв»Ã÷È·¡£

                        2.±¾Ò©¿ÉÅÅйÈëÈéÖ­£¬µ«²¸ÈéÊǰ²È«µÄ¡£

¡¾¶ùͯÓÃÒ©¡¿Éв»Ã÷È·¡£

¡¾ÀÏÄêÓÃÒ©¡¿Éв»Ã÷È·¡£

¡¾Ò©ÎïÏ໥×÷Óῼ×ÑõÂÈÆÕ°·¿É½µµÍ±¾Ò©ÎüÊÕ¡£¹Ê²»Ò˺ÏÓá£

¡¾Ò©Îï¹ýÁ¿¡¿Éв»Ã÷È·¡£

¡¾Ò©Àí¶¾Àí¡¿Ò©Àí×÷Óà   ±¾Æ·ÎªÎ¬ÉúËØÀàÒ©¡£ºË»ÆËØ£¨Î¬ÉúËØB2£©ÊÇÈËÌå³ÁÒªÓªÑøËØ£¬ÔÚÄÜÁ¿´úлÖÐÆð¹Ø¼ü×÷Óá£

            ±¾Ò©Îª»ÆËص¥ºËÜÕËᣨFMN£©ºÍ»ÆËØÏÙàÑßʶþºËÜÕËᣨFAD£©Ç°ÌåÒ©£¬¶øFMNºÍFADÊÇ»ÆËØÃ¸¼Ò×åµÄ³ÁÒª¸¨ÖúÒò×Ó¡£»ÆËØÃ¸´ß»¯ºÃ¶àÉú»¯·´Ó³£¬×îµäÐ͵ÄΪÑõ»¯»¹Ô­·´Ó³£¬ËüÃÇÊÇϸ°ûºôÎüµÄ¹Ø¼üÒò×Ó¡£FADºÍ FMNÔÚÏßÁ£Ì嶯µ¯Á´ÖеÝÇ⣬Ôڴ˹ý³ÌÖвúÉúϸ°ûÄÜÁ¿¡£²»×ãʱ¿ÉÓ°Ïì»úÌåµÄÉúÎïÑõ»¯£¬Ê¹´úл²úÉú×è°­£¬Æä²¡±ä¶à²û·¢Îª¿Ú¡¢ÑÛ¡¢±íÉúÖ³Æ÷²¿Î»µÄÑ×Ö¢¡£

¡¾Ò©´ú¶¯Á¦Ñ§¡¿ÎÞ±¾Ò©×¢Éä¸øÒ©µÄÒ©´ú¶¯Á¦Ñ§×ÊÁÏ¡£

              ¾ÝÎļþ×ÊÁÏ£¬ºË»ÆËؿڷþºó£¬ÖØÒªÔÚ½ü¶ÎÓ׳¦ÎüÊÕ£¬Ê³Æ·ÄÜÍÆ½ø¸ÃÆ·ÎüÊÕ£¬µ¨Ñμӿì¸ÃÆ·ÎüÊÕ¡£ÔÚ2¡«25mg¼ÁÁ¿ÁìÓòÄÚ£¬ÆäÉúÎïÀûÓöÈΪ50¡«60%£¬µ¥´Î¿Ú·þµÄ×î´óÎüÊÕÁ¿Îª27mg£¬³¬Á¿²¿ÃÅ´Ó·à±ãÖÐÉø³ö¡£»ÆËص¥ºËÜÕËᣨFMN£©ºÍ»ÆËØÏÙàÑßʶþºËÜÕËᣨFAD£©ÎüÊÕ½ÏÉÙ¡£±¾Ò©¾­Ãž²ÂöÈë¸Î½øÈëѪҺѭ»·£¬ÔÙ´ïµ½×éÖ¯¡£´ó²¿ÃÅѪÇåºË»ÆËر»°×µ°°×»òÃâÒßÇòµ°°×תÔË£¬Í¨¹ýŨ¶ÈÌݶÈÃÖÉ¢ÖÁϸ°ûÄÚ¡£ÔÚϸ°ûÄÚ£¬ºË»ÆËØÍ¨¹ý»ÆËؼ¤Ã¸×ª»»ÎªFMN£¬FMNÓÖͨ¹ýFADºÏ³Éøת»»³ÉΪFAD£¬FADÊÇ×éÖ¯Öк˻ÆËصÄÖØÒª´æÔÚ´ó¾Ö¡£³¬¹ýÉí¶Î±ØÒªÁ¿µÄºË»ÆËØÖØÒª´ÓÉöÔàÉø³ö£¬²¿ÃÅ´úл²úÆ·Ò²´ÓÉöÔàÅųö¡£±¾Ò©¿Ú·þ»ò¼¡Èâ×¢ÉäµÄ°ëË¥ÆÚΪ66¡«84·ÖÖÓ¡£  

¡¾Öü    ²Ø¡¿Õڹ⣬Ãܹأ¨10¡«30¡æ£©±£Áô¡£

¡¾°ü    ×°¡¿°²ê³×°£¬10Ö§/ºÐ¡£

¡¾ÓРЧ ÆÚ¡¿12¸öÔ¡£

¡¾Ö´Ðг߶ȡ¿¡¶ÖйúÒ©µä¡·2015Äê°æ¶þ²¿

¡¾ºË×¼Îĺš¿¹úÒ©×¼×ÖH20093989

¡¾³ö²úÆóÒµ¡¿ÆóÒµÃû³Æ£ºÉ½Î÷Å·²©ABG̩ʢÔìÒ©ÓÐÏÞ¹«Ë¾

            ³ö²úµØÖ·£ºÉ½Î÷Ê¡´óͬÊо­¼Ã¼¼Êõ¿ª·¢ÇøµÚÒ»Ò½Ò©Ô°Çø

            ÓÊÕþ±àÂ룺037300

            µç»°ºÅÂ룺0352-7290991

            ´«ÕæºÅÂ룺0352-7290990