
¡¾Ò©Æ·Ãû³Æ¡¿Í¨ÓÃÃû³Æ£ºÒÀ¸½ºìÃ¹ËØ¿ÅÁ£
Ó¢ÎÄÃû³Æ£ºErythromycin Estolate Granules
ººÓïÆ´Òô£ºYituo Hongmeisu Keli
¡¾³É·Ý¡¿±¾Æ·ÖØÒª³É·ÝΪÒÀ¸½ºìÃ¹ËØ¡£
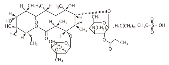
Æä½á¹¹Ê½Îª£º

·Ö×Óʽ£ºC40H71NO14¡¤C12H26O4S
·Ö×ÓÁ¿£º1056.40
¡¾ÐÔ×´¡¿±¾Æ·Îª»ìÐü¿ÅÁ££»Æø·¼Ïã¡£
¡¾ÊÊÓ¦Ö¢¡¿
1¡¢±¾Æ·×÷ΪÇàÃ¹ËØ¹ýÃô»¼ÕßÒ½ÖÎÏÂÁÐϰȾµÄ´úÌæÓÃÒ©£ºÈÜѪÐÔÁ´Çò¾ú¡¢·ÎÑ×Á´Çò¾úµÈËùÖµļ±ÐÔ±âÌÒÌåÑס¢¼±ÐÔÑÊÑס¢±Çñ¼Ñ×£»ÈÜѪÐÔÁ´Çò¾úËùÖµÄÐɺìÈÈ¡¢·äÎÑÖ¯Ñ×£»°×ºí¼°°×ºí´ø¾úÕߣ»ÆøÐÔ»µ¾Ò¡¢Ì¿¾Ò¡¢ÆÆ¸Ð𣻷ÅÏß¾ú²¡£»Ã·¶¾£»ÀîË¹ÌØ¾ú²¡µÈ¡£2¡¢¾üÍžú²¡¡£3¡¢·ÎÑ×Ö§ÔÌå·ÎÑס£4¡¢·ÎÑ×ÒÂÔÌå·ÎÑס£5¡¢ÆäËûÒÂÔÌåÊô¡¢Ö§ÔÌåÊôËùÖÂÃÚÄòÉúֳϵϰȾ¡£6¡¢É³ÑÛÒÂÔÌå½áĤÑס£7¡¢ÑáÑõ¾úËùÖ¿ÚǻϰȾ¡£8¡¢¿Õ³¦ÍäÇú¾ú³¦Ñס£9¡¢°ÙÈÕ¿È¡£10¡¢·çʪÈȸ´·¢¡¢Ï°È¾ÐÔÐÄÄÚĤÑ×(·çʪÐÔÐÄÔಡ¡¢ÏÈÐÔ×ÓÐÄÔಡ¡¢ÐÄÔà°êĤÖû»Êõºó)¡¢Ô¤·À¿ÚÇ»»òÉϺôÎü·ϰȾ£¨ÇàÃ¹ËØµÄ´úÌæÓÃÒ©)¡£
¡¾¹æ¸ñ¡¿°´ºìÃ¹ËØ¼Æ75mg(7.5Íòµ¥Ôª)
¡¾Ó÷¨ÓÃÁ¿¡¿¿Ú·þ£¬³ÉÈËÒ»ÈÕ1~2g£»·Ö3~4´Î£¬¶ùͯÖðÈÕ°´Ìå³Á20-30mg/kg£¬·Ö3~4´Î¡£Ò½ÖξüÍžú²¡£¬³ÉÈËÒ»´Î0.5~1.0g£¬Ò»ÈÕ4´Î¡£Ó÷ç¸ñʪÈȸ´·¢µÄÔ¤·ÀÓÃҩʱ£¬Ò»´Î0.25g£¬Ò»ÈÕ2´Î¡£ÓÃ×÷ϰȾÐÔÐÄÄÚĤÑ×µÄÔ¤·ÀÓÃҩʱ£¬Êõǰ1Ó×ʱ¿Ú·þ1g£¬Êõºó6Ó×ʱÔÙ·þÓÃ0.5g¡£
¡¾²»Á¼·´Ó³¡¿1¡¢·þÓñ¾Æ·ºó²úÉú¸Î¶¾ÐÔ·´Ó³Õ߽ϷþÓÃÆäËûºìÃ¹ËØÔì¼ÁΪ¶à¼û£¬·þÒ©ÊýÈÕ»ò1~2Öܺó»¼Õ߿ɳöÏÖ·¦Á¦¡¢¶ñÐÄ¡¢Å»Í¡¢¸¹Í´¡¢Æ¤Õî¡¢·¢Èȵȡ£ÓÐʱ¿É³öÏÖ»Æð㣬¸ÎÖ°ÄÜÊÔÑéÏÔʾÓÙµ¨£¬Í£Ò©ºó³£¿É¸´Ô¡£2¡¢Î¸³¦Â··´Ó³Óи¹Ðº¡¢¶ñÐÄ¡¢Å»Í¡¢ÖÐÉϸ¹Í´¡¢¿ÚÉàÌÛÍ´¡¢Î¸ÄɼõÍ˵ȣ¬Æä²úÉúÂÊÓë¼ÁÁ¿´óÓ×Óйء£3¡¢´ó¼ÁÁ¿(¡Ý4g/ÈÕ)ÀûÓÃʱ£¬ÓÈÆä¸Î¡¢Éö¼²²¡»¼Õß»òÀÏÄ껼Õߣ¬¿ÉÄÜÒýÆðÌýÁ¦¼õÍË£¬ÖØÒªÓëѪҩŨ¶È¹ý¸ß(©ƒ12mg/L)Óйأ¬Í£Ò©ºó´ó¶à¿É¸´Ô¡£4¡¢¹ýÃô·´Ó³²û·¢ÎªÒ©ÎïÈÈ¡¢Æ¤Õî¡¢ÊÈËáÁ£Ï¸°ûÔö¶àµÈ¡£²úÉúÂÊÔ¼0.5%¡«1%¡£5¡¢ÆäËû£ºÅ¼ÓÐÐÄÂɱä̬¡¢¿ÚÇ»»òÒõ·ÏëÖé¾úϰȾ¡£
¡¾½û¼É¡¿¶ÔºìÃ¹ËØÀàÒ©Îï¹ýÃôÕß½ûÓá£
¡¾µ±¿àÖÔÏî¡¿1¡¢½»²æ¹ýÃô£º¶ÔÒ»ÖÖºìÃ¹ËØÔì¼Á¹ýÃôʱ£¬¶ÔÆäËûºìÃ¹ËØÔì¼ÁÒ²¿É¹ýÃô¡£2¡¢·þÓñ¾Æ·ºó³öÏÖALT¡¢AST¡¢AKP¡¢µ¨ºìËØµÈÔö¸ßÕ߽ϷþÓÃÆäËûºìÃ¹ËØÔì¼ÁΪ¶à¼û¡£3¡¢ÈÜѪÐÔÁ´Çò¾úϰȾÓñ¾Æ·Ò½ÖÎʱ£¬ÖÁÉÙÐè³ÖÐø10ÈÕ£¬ÒÔÔ¤·À¼±ÐÔ·çʪÈȵIJúÉú¡£4¡¢ÂýÐԸβ¡¡¢¸ÎÖ°ÄÜÇÖº¦ÕßÉ÷Óá£5¡¢ÉöÖ°ÄܼõÍË»¼Õßͨ³£ÎÞÐèÏ÷¼õÓÃÁ¿¡£6¡¢Òò·ÖÆçϸ¾ú¶ÔºìÃ¹ËØµÄÃô¸ÐÐÔ´æÔڿ϶¨²î¾à£¬¹ÊÓ¦×öÒ©Ãô²â¶¨¡£7¡¢¶ÔÕï¶ÏµÄ×ÌÈÅ£ººìÃ¹ËØ¿É×ÌÈÅHigerty·¨µÄÓ«¹â²â¶¨£¬Ê¹Äò¶ù²è·Ó°·µÄ²â¶¨Öµ³öÏÖ¼ÙÐÔÔö¸ß¡£ÑªÇå¼îÐÔÁ×Ëáø¡¢µ¨ºìËØ¡¢±û°±Ëá°±»ù×ªÒÆÃ¸ºÍÃŶ¬°±Ëá°±»ù×ªÒÆÃ¸µÄ²â¶¨Öµ¾ù¿ÉÄÜÔö¸ß¡£
¡¾Ôи¾¼°²¸ÈéÆÚ¸¾Å®ÓÃÒ©¡¿1¡¢±¾Æ·¿Éͨ¹ýÌ¥Å̶ø½øÈëÌ¥¶ùÑ»·£¬ÇÒÔи¾·þÓñ¾Æ·ºó³öÏָζ¾ÐÔ·´Ó³µÄ¿ÉÄÜÐÔÔö³¤£¬¹ÊÔи¾²»ÒËÀûÓá£2¡¢ºìÃ¹ËØÓÐÏ൱Á¿½øÈëĸÈéÖУ¬²¸ÈéÆÚ¸¾Å®ÀûÓÃʱÒËÔÝÍ£²¸Èé¡£
¡¾¶ùͯÓÃÒ©¡¿Éв»Ã÷È·
¡¾ÀÏÄêÓÃÒ©¡¿Éв»Ã÷È·
¡¾Ò©ÎïÏ໥×÷Óá¿1¡¢±¾Æ·¿ÉÒÖÔ쿨ÂíÎ÷ºÍÉÆ±ûÎìËáµÈ¿¹ñ²ðïÒ©µÄ´úл£¬µ¼ÖºóÕßѪҩŨ¶ÈÔö¸ß¶ø²úÉú¶¾ÐÔ·´Ó³¡£±¾Æ·Óë°¢·ÒÌ«ÄáºÏÓÿÉÒÖÔìºóÕߵĴúл£¬µ¢¸éÆä×÷Óù¦·ò¡£±¾Æ·Ó밢˾ßäßò»òÌØ·ÇÄǶ¨µÈ¿¹×é°·Ò©ºÏÓÿÉÔö³¤ÐÄÔà¶¾ÐÔ£¬Óë»·æßËØºÏÓÿÉʹºóÕßѪҩŨ¶ÈÔö³¤¶ø²úÉúÉö¶¾ÐÔ¡£2¡¢ÓëÂÈÃ¹ËØºÍÁÖ¿Éõ£°·ÀàÓ½¨×¿¹×÷Ó㬲»ÍƼöͬÓá£3¡¢±¾Æ·ÎªÒÖ¾ú¼Á£¬¿É×ÌÈÅÇàÃ¹ËØµÄɱ¾úЧÁ¦£¬¹Êµ±±ØÒª¼±¾çɱ¾ú×÷ÓÃÈçÒ½ÖÎÄÔĤÑ×ʱ£¬Á½Õß²»Ò˽áºÏÓÃÒ©¡£4¡¢³Ö¾Ã·þÓûª·¨ÁֵϼÕßÀûÓúìÃ¹ËØÊ±¿Éµ¼ÖÂÄýѪøԹ¦·òµ¢¸é£¬´Ó¶øÔö³¤³öѪµÄΣÏÕÐÔ£¬ÀÏÄ겡ÈËÓÅצ°ÑÎÈ£¬Á½Õß±ØÐëͬʱʹÓÃʱ£¬»ª·¨ÁֵļÁÁ¿ÒËÊʵ±µ÷Õû£¬²¢çÇÃܹ۲ìÄýѪøԹ¦·ò¡£5¡¢³ý¶þôDZû²è¼î±í£¬±¾Æ·Óë»ÆàÑßÊÀàͬÓÿÉʹ°±²è¼îµÄ¸Î¶Ï¸ùÏ÷¼õ£¬µ¼ÖÂѪÇå°±²è¼îŨ¶ÈÉý¸ßºÍ(»ò)¶¾ÐÔ·´Ó³Ôö³¤£¬ÕâÒ»¾°ÏóÔÚºÏÓÃ6ÈÕºó½ÏÒײúÉú£¬°±²è¼î¶Ï¸ùµÄÏ÷¼õ·ù¶Å×뱾ƷѪÇå·åÖµ³ÉÕý±È¡£Òò¶øÔÚÁ½ÕߺÏÓÃÁƳÌÖкÍÁƳ̺󣬻ÆàÑßÊÀàµÄ¼ÁÁ¿Ó¦Óèµ÷Õû¡£6¡¢ÓëÆäËû¸Î¶¾ÐÔÒ©ÎïºÏÓÿÉÄܼÓÇ¿¸Î¶¾ÐÔ¡£7¡¢´ó¼ÁÁ¿±¾Æ·Óë¶ú¶¾ÐÔÒ©ÎïºÏÓã¬ÓÈÆäÉöÖ°ÄܼõÍË»¼Õß¿ÉÄÜÔö³¤¶ú¶¾ÐÔ¡£8¡¢ÓëÂå·¥ËûÍ¡ºÏÓÃʱ¿ÉÒÖÔìÆä´úл¶øÊ¹ÑªÅ¨¶ÈÉÏÉý£¬¿ÉÄÜÒýÆðºáÎÆ¼¡ÈÜ»¯£¬Óëßä´ïßòÂØ»òÈýßòÂØºÏÓÃʱ¿ÉÏ÷¼õ¶þÕߵĶϸù¶ø¼ÓÇ¿Æä×÷Óá£
¡¾Ò©Îï¹ýÁ¿¡¿Ó¦ÊµÊ±Í£Ò©´ÍÓë¶ÔÖ¢ºÍÖ§³ÖÒ½ÖΡ£ÑªÒºÍ¸Îö»ò¸¹Ä¤Í¸Îöºó¼«ÉÙ±»½â³ý¡£
¡¾Ò©Àí¶¾Àí¡¿±¾Æ·Êô´ó»·ÄÚõ¥À࿹ÉúËØ£¬ÎªºìÃ¹ËØ±ûËáõ¥µÄÊ®¶þÍé»ùÁòËáÑΣ¬¶ÔÆÏÌÑÇò¾úÊô¡¢¸÷×éÁ´Çò¾úºÍ¸ïÀ¼ÑôÐԸ˾ú¾ù¾ß¿¹¾ú»îÐÔ£¬ÄÎɪ¾úÊô£¬Á÷¸ÐÊÈѪ¸Ë¾ú£¬°ÙÈտȱ«ÌØÊϾúµÈÒ²¿É¶Ô±¾Æ·³öÏÖÃô¸Ð¡£±¾Æ·¶Ô³ý´àÈõÄâ¸Ë¾úºÍËó¸Ë¾úÊôÒÔ±íµÄ¸÷ÀàÑáÑõ¾úÒà¾ß¿¹¾ú»îÐÔ£»¶ÌÚüÍžúÊô¡¢Ì¥¶ùÍäÇú¾ú¡¢Ä³Ð©ÂÝÐýÌå¡¢·ÎÑ×Ö§ÔÌå¡¢Á¢¿Ë´ÎÌåÊôºÍÒÂÔÌåÊôÒ²ÓÐÒÖÔì×÷Óᣱ¾Æ·ÏµÒÖ¾ú¼Á£¬µ«ÔÚ¸ßŨ¶Èʱ¶ÔijЩϸ¾úÒ²¾ßɱ¾ú×÷Ó㬱¾Æ·¿É͸¹ýϸ¾úϸ°ûĤ£¬ÔÚ¿¿½ü¹©Î»(¡°P¡±Î»)´¦ÓÚϸ¾úºËÌÇÌåµÄ50SÑÇ»ù³É¿ÉÄæÐÔ½áºÏ£¬×è¶ÏÁË×ªÒÆºËÌǺËËá(t-RNA )½áºÏÖÁ¡°P¡±Î»ÉÏ£¬Í¬Ê±Ò²×è¶ÏÁ˶àëÄÁ´×ÔÊÜλ(¡°A¡±Î»)ÖÁ¡°P¡±Î»µÄÎ»ÒÆ£¬Òò¶øÏ¸¾úµ°°×ÖʺϳÉÊÜÒÖÔì¡£±¾Æ·½ö¶Ô¸îÁÑ»îÔ¾µÄϸ¾úÓÐЧ¡£
¡¾Ò©´ú¶¯Á¦Ñ§¡¿¿Õ¸¹»ò·¹ºó¿Ú·þ¶¼ÎüÊպܿ죬ÔÚθËáÖнϲ»±ä¡£µ°°×½áºÏÂÊΪ90%~99%£¬¿Ú·þºóÔÚθ³¦Â·Öзֻ¯ÎªºìÃ¹ËØ±ûËáõ¥£¬²¿ÃÅÔÚѪҺÖÐË®½â³ÉÓÎÀëµÄºìÃ¹ËØ¶øÆð¿¹¾ú×÷Ó᣿ڷþ0.25¿ËºÍ0.5¿ËµÄѪҩ·åŨ¶È(Cmax)ÓÚ2Ó×ʱ´ïµ½£¬±ðÀëΪ1.4ºÁ¿Ë/ÉýºÍ4.2ºÁ¿Ë/Éý¡£ÎüÊÕºó³ýÄÔ¼¹ÒººÍÄÔ×éÖ¯±í£¬¿í·ºÉ¢²¼ÓÚ¸÷×éÖ¯ºÍÌåÒºÖУ¬ÓÈÒԸΡ¢µ¨ÖºÍÆ¢ÖеÄŨ¶ÈΪ×î¸ß£¬ÔÚÉö¡¢·ÎµÈ×éÖ¯ÖеÄŨ¶È¿ÉÓâԽѪҩŨ¶ÈÊý±¶£¬ÔÚµ¨ÖÖеÄŨ¶È¿É´ïѪҩŨ¶ÈµÄ10-40±¶ÒÔÉÏ¡£ÔÚÆ¤ÏÂ×éÖ¯¡¢Ìµ¼°Ö§Æø¹ÜÅÅйÎïÖеÄŨ¶ÈÒ²½Ï¸ß£¬ÌµÖÐŨ¶Å×ëѪҩŨ¶ÈÏà·Â£»ÔÚÐØ¡¢¸¹Ë®¡¢Å§ÒºµÈÖеÄŨ¶È¿É´ïÓÐЧˮƽ¡£±¾Æ·Óп϶¨Á¿(ԼΪѪҩŨ¶ÈµÄ33%)½øÈëǰÁÐÏÙ¼°¾«ÄÒÖУ¬µ«²»Ò×͸¹ýѪ-ÄÔ¼¹Òº·®À飬ÄÔĤÓÐÑ×֢ʱÄÔ¼¹ÒºÖÐŨ¶È½öΪѪҩŨ¶ÈµÄ10%×óÓÒ¡£¿É½øÈë̥ѪºÍÅÅÈëĸÈéÖУ¬Ì¥¶ùѪҩŨ¶ÈΪĸÌåѪҩŨ¶ÈµÄ5%~20%£¬Ä¸ÈéÖÐÒ©ÎïŨ¶È¿É´ïѪҩŨ¶ÈµÄ50%ÒÔÉÏ¡£±í¹ÛÉ¢²¼ÈÝ»ý(VD)Ϊ0.9Éý/ǧ¿Ë¡£ÓÎÀëºìÃ¹ËØÔÚ¸ÎÄÚ´úл£¬Ñª½â³ý°ëË¥ÆÚ(t?¦Â)Ϊ1.4~2Ó×ʱ£¬ÎÞÄò»¼ÕßµÄѪ°ëË¥ÆÚ¿Éµ¢¸éµ½4.8~6Ó×ʱ¡£ÒÀ¸½ºìÃ¹ËØÖØÒªÔÚ¸ÎÖÐŨËõºÍ´Óµ¨ÖÅųö£¬²¢½øÐг¦¸ÎÑ»·£¬Ô¼2%~5%µÄ¿Ú·þÁ¿ºÍ10%~15%µÄ×¢ÈëÁ¿×ÔÉöÓ×ÇòÂ˹ýÅųý£¬ÄòÖÐŨ¶È¿É´ï10~100ºÁ¿Ë/Éý¡£·à±ãÖÐÒ²º¬Óп϶¨Á¿¡£Ñª»ò¸¹Ä¤Í¸Îöºó¼«ÉÙ±»¶Ï¸ù£¬¹Ê͸ÎöºóÎÞÐè¼ÓÓá£
¡¾Öü²Ø¡¿Õڹ⣬ÃÜ·â±£Áô¡£
¡¾°ü×°¡¿Ò©Óø´ºÏĤ£»10´ü/ºÐ¡£
¡¾ÓÐЧÆÚ¡¿24¸öÔÂ
¡¾Ö´Ðг߶ȡ¿¡¶ÖйúÒ©µä¡·2020Äê°æ¶þ²¿
¡¾ºË×¼Îĺš¿¹úÒ©×¼×ÖH14020421
¡¾ÉÏÊÐÐí¿É³ÖÓÐÈË¡¿Ãû³Æ£ºÉ½Î÷Å·²©ABG°²ÐÀÉúÎïÔìÒ©ÓÐÏÞ¹«Ë¾
×¢²áµØÖ·£ºÉ½Î÷Ê¡½úÖÐÊÐɽÎ÷ʾ·¶Çø½úÖпª·¢Çø»ãͨ²úÒµÔ°Çø»þ³Ç·908ºÅ
¡¾³ö²úÆóÒµ¡¿ÆóÒµÃû³Æ£ºÉ½Î÷Å·²©ABG°²ÐÀÉúÎïÔìÒ©ÓÐÏÞ¹«Ë¾
³ö²úµØÖ·£ºÉ½Î÷Ê¡½úÖÐÊлþ³Ç·908ºÅ(½úÖо¼Ã¼¼Êõ¿ª·¢ÇøÃñÓª¿Æ¼¼Ô°)
ÓÊÕþ±àÂ룺030600
µç»°ºÅÂ룺0354-2467981 0354-2467996
´«ÕæºÅÂ룺0354-2467996
꿅᣼www.zdjt.com

¡¾Ò©Æ·Ãû³Æ¡¿Í¨ÓÃÃû³Æ£ºÒÀ¸½ºìÃ¹ËØ¿ÅÁ£
Ó¢ÎÄÃû³Æ£ºErythromycin Estolate Granules
ººÓïÆ´Òô£ºYituo Hongmeisu Keli
¡¾³É·Ý¡¿±¾Æ·ÖØÒª³É·ÝΪÒÀ¸½ºìÃ¹ËØ¡£
Æä½á¹¹Ê½Îª£º

·Ö×Óʽ£ºC40H71NO14¡¤C12H26O4S
·Ö×ÓÁ¿£º1056.40
¡¾ÐÔ×´¡¿±¾Æ·Îª»ìÐü¿ÅÁ££»Æø·¼Ïã¡£
¡¾ÊÊÓ¦Ö¢¡¿
1¡¢±¾Æ·×÷ΪÇàÃ¹ËØ¹ýÃô»¼ÕßÒ½ÖÎÏÂÁÐϰȾµÄ´úÌæÓÃÒ©£ºÈÜѪÐÔÁ´Çò¾ú¡¢·ÎÑ×Á´Çò¾úµÈËùÖµļ±ÐÔ±âÌÒÌåÑס¢¼±ÐÔÑÊÑס¢±Çñ¼Ñ×£»ÈÜѪÐÔÁ´Çò¾úËùÖµÄÐɺìÈÈ¡¢·äÎÑÖ¯Ñ×£»°×ºí¼°°×ºí´ø¾úÕߣ»ÆøÐÔ»µ¾Ò¡¢Ì¿¾Ò¡¢ÆÆ¸Ð𣻷ÅÏß¾ú²¡£»Ã·¶¾£»ÀîË¹ÌØ¾ú²¡µÈ¡£2¡¢¾üÍžú²¡¡£3¡¢·ÎÑ×Ö§ÔÌå·ÎÑס£4¡¢·ÎÑ×ÒÂÔÌå·ÎÑס£5¡¢ÆäËûÒÂÔÌåÊô¡¢Ö§ÔÌåÊôËùÖÂÃÚÄòÉúֳϵϰȾ¡£6¡¢É³ÑÛÒÂÔÌå½áĤÑס£7¡¢ÑáÑõ¾úËùÖ¿ÚǻϰȾ¡£8¡¢¿Õ³¦ÍäÇú¾ú³¦Ñס£9¡¢°ÙÈÕ¿È¡£10¡¢·çʪÈȸ´·¢¡¢Ï°È¾ÐÔÐÄÄÚĤÑ×(·çʪÐÔÐÄÔಡ¡¢ÏÈÐÔ×ÓÐÄÔಡ¡¢ÐÄÔà°êĤÖû»Êõºó)¡¢Ô¤·À¿ÚÇ»»òÉϺôÎü·ϰȾ£¨ÇàÃ¹ËØµÄ´úÌæÓÃÒ©)¡£
¡¾¹æ¸ñ¡¿°´ºìÃ¹ËØ¼Æ75mg(7.5Íòµ¥Ôª)
¡¾Ó÷¨ÓÃÁ¿¡¿¿Ú·þ£¬³ÉÈËÒ»ÈÕ1~2g£»·Ö3~4´Î£¬¶ùͯÖðÈÕ°´Ìå³Á20-30mg/kg£¬·Ö3~4´Î¡£Ò½ÖξüÍžú²¡£¬³ÉÈËÒ»´Î0.5~1.0g£¬Ò»ÈÕ4´Î¡£Ó÷ç¸ñʪÈȸ´·¢µÄÔ¤·ÀÓÃҩʱ£¬Ò»´Î0.25g£¬Ò»ÈÕ2´Î¡£ÓÃ×÷ϰȾÐÔÐÄÄÚĤÑ×µÄÔ¤·ÀÓÃҩʱ£¬Êõǰ1Ó×ʱ¿Ú·þ1g£¬Êõºó6Ó×ʱÔÙ·þÓÃ0.5g¡£
¡¾²»Á¼·´Ó³¡¿1¡¢·þÓñ¾Æ·ºó²úÉú¸Î¶¾ÐÔ·´Ó³Õ߽ϷþÓÃÆäËûºìÃ¹ËØÔì¼ÁΪ¶à¼û£¬·þÒ©ÊýÈÕ»ò1~2Öܺó»¼Õ߿ɳöÏÖ·¦Á¦¡¢¶ñÐÄ¡¢Å»Í¡¢¸¹Í´¡¢Æ¤Õî¡¢·¢Èȵȡ£ÓÐʱ¿É³öÏÖ»Æð㣬¸ÎÖ°ÄÜÊÔÑéÏÔʾÓÙµ¨£¬Í£Ò©ºó³£¿É¸´Ô¡£2¡¢Î¸³¦Â··´Ó³Óи¹Ðº¡¢¶ñÐÄ¡¢Å»Í¡¢ÖÐÉϸ¹Í´¡¢¿ÚÉàÌÛÍ´¡¢Î¸ÄɼõÍ˵ȣ¬Æä²úÉúÂÊÓë¼ÁÁ¿´óÓ×Óйء£3¡¢´ó¼ÁÁ¿(¡Ý4g/ÈÕ)ÀûÓÃʱ£¬ÓÈÆä¸Î¡¢Éö¼²²¡»¼Õß»òÀÏÄ껼Õߣ¬¿ÉÄÜÒýÆðÌýÁ¦¼õÍË£¬ÖØÒªÓëѪҩŨ¶È¹ý¸ß(©ƒ12mg/L)Óйأ¬Í£Ò©ºó´ó¶à¿É¸´Ô¡£4¡¢¹ýÃô·´Ó³²û·¢ÎªÒ©ÎïÈÈ¡¢Æ¤Õî¡¢ÊÈËáÁ£Ï¸°ûÔö¶àµÈ¡£²úÉúÂÊÔ¼0.5%¡«1%¡£5¡¢ÆäËû£ºÅ¼ÓÐÐÄÂɱä̬¡¢¿ÚÇ»»òÒõ·ÏëÖé¾úϰȾ¡£
¡¾½û¼É¡¿¶ÔºìÃ¹ËØÀàÒ©Îï¹ýÃôÕß½ûÓá£
¡¾µ±¿àÖÔÏî¡¿1¡¢½»²æ¹ýÃô£º¶ÔÒ»ÖÖºìÃ¹ËØÔì¼Á¹ýÃôʱ£¬¶ÔÆäËûºìÃ¹ËØÔì¼ÁÒ²¿É¹ýÃô¡£2¡¢·þÓñ¾Æ·ºó³öÏÖALT¡¢AST¡¢AKP¡¢µ¨ºìËØµÈÔö¸ßÕ߽ϷþÓÃÆäËûºìÃ¹ËØÔì¼ÁΪ¶à¼û¡£3¡¢ÈÜѪÐÔÁ´Çò¾úϰȾÓñ¾Æ·Ò½ÖÎʱ£¬ÖÁÉÙÐè³ÖÐø10ÈÕ£¬ÒÔÔ¤·À¼±ÐÔ·çʪÈȵIJúÉú¡£4¡¢ÂýÐԸβ¡¡¢¸ÎÖ°ÄÜÇÖº¦ÕßÉ÷Óá£5¡¢ÉöÖ°ÄܼõÍË»¼Õßͨ³£ÎÞÐèÏ÷¼õÓÃÁ¿¡£6¡¢Òò·ÖÆçϸ¾ú¶ÔºìÃ¹ËØµÄÃô¸ÐÐÔ´æÔڿ϶¨²î¾à£¬¹ÊÓ¦×öÒ©Ãô²â¶¨¡£7¡¢¶ÔÕï¶ÏµÄ×ÌÈÅ£ººìÃ¹ËØ¿É×ÌÈÅHigerty·¨µÄÓ«¹â²â¶¨£¬Ê¹Äò¶ù²è·Ó°·µÄ²â¶¨Öµ³öÏÖ¼ÙÐÔÔö¸ß¡£ÑªÇå¼îÐÔÁ×Ëáø¡¢µ¨ºìËØ¡¢±û°±Ëá°±»ù×ªÒÆÃ¸ºÍÃŶ¬°±Ëá°±»ù×ªÒÆÃ¸µÄ²â¶¨Öµ¾ù¿ÉÄÜÔö¸ß¡£
¡¾Ôи¾¼°²¸ÈéÆÚ¸¾Å®ÓÃÒ©¡¿1¡¢±¾Æ·¿Éͨ¹ýÌ¥Å̶ø½øÈëÌ¥¶ùÑ»·£¬ÇÒÔи¾·þÓñ¾Æ·ºó³öÏָζ¾ÐÔ·´Ó³µÄ¿ÉÄÜÐÔÔö³¤£¬¹ÊÔи¾²»ÒËÀûÓá£2¡¢ºìÃ¹ËØÓÐÏ൱Á¿½øÈëĸÈéÖУ¬²¸ÈéÆÚ¸¾Å®ÀûÓÃʱÒËÔÝÍ£²¸Èé¡£
¡¾¶ùͯÓÃÒ©¡¿Éв»Ã÷È·
¡¾ÀÏÄêÓÃÒ©¡¿Éв»Ã÷È·
¡¾Ò©ÎïÏ໥×÷Óá¿1¡¢±¾Æ·¿ÉÒÖÔ쿨ÂíÎ÷ºÍÉÆ±ûÎìËáµÈ¿¹ñ²ðïÒ©µÄ´úл£¬µ¼ÖºóÕßѪҩŨ¶ÈÔö¸ß¶ø²úÉú¶¾ÐÔ·´Ó³¡£±¾Æ·Óë°¢·ÒÌ«ÄáºÏÓÿÉÒÖÔìºóÕߵĴúл£¬µ¢¸éÆä×÷Óù¦·ò¡£±¾Æ·Ó밢˾ßäßò»òÌØ·ÇÄǶ¨µÈ¿¹×é°·Ò©ºÏÓÿÉÔö³¤ÐÄÔà¶¾ÐÔ£¬Óë»·æßËØºÏÓÿÉʹºóÕßѪҩŨ¶ÈÔö³¤¶ø²úÉúÉö¶¾ÐÔ¡£2¡¢ÓëÂÈÃ¹ËØºÍÁÖ¿Éõ£°·ÀàÓ½¨×¿¹×÷Ó㬲»ÍƼöͬÓá£3¡¢±¾Æ·ÎªÒÖ¾ú¼Á£¬¿É×ÌÈÅÇàÃ¹ËØµÄɱ¾úЧÁ¦£¬¹Êµ±±ØÒª¼±¾çɱ¾ú×÷ÓÃÈçÒ½ÖÎÄÔĤÑ×ʱ£¬Á½Õß²»Ò˽áºÏÓÃÒ©¡£4¡¢³Ö¾Ã·þÓûª·¨ÁֵϼÕßÀûÓúìÃ¹ËØÊ±¿Éµ¼ÖÂÄýѪøԹ¦·òµ¢¸é£¬´Ó¶øÔö³¤³öѪµÄΣÏÕÐÔ£¬ÀÏÄ겡ÈËÓÅצ°ÑÎÈ£¬Á½Õß±ØÐëͬʱʹÓÃʱ£¬»ª·¨ÁֵļÁÁ¿ÒËÊʵ±µ÷Õû£¬²¢çÇÃܹ۲ìÄýѪøԹ¦·ò¡£5¡¢³ý¶þôDZû²è¼î±í£¬±¾Æ·Óë»ÆàÑßÊÀàͬÓÿÉʹ°±²è¼îµÄ¸Î¶Ï¸ùÏ÷¼õ£¬µ¼ÖÂѪÇå°±²è¼îŨ¶ÈÉý¸ßºÍ(»ò)¶¾ÐÔ·´Ó³Ôö³¤£¬ÕâÒ»¾°ÏóÔÚºÏÓÃ6ÈÕºó½ÏÒײúÉú£¬°±²è¼î¶Ï¸ùµÄÏ÷¼õ·ù¶Å×뱾ƷѪÇå·åÖµ³ÉÕý±È¡£Òò¶øÔÚÁ½ÕߺÏÓÃÁƳÌÖкÍÁƳ̺󣬻ÆàÑßÊÀàµÄ¼ÁÁ¿Ó¦Óèµ÷Õû¡£6¡¢ÓëÆäËû¸Î¶¾ÐÔÒ©ÎïºÏÓÿÉÄܼÓÇ¿¸Î¶¾ÐÔ¡£7¡¢´ó¼ÁÁ¿±¾Æ·Óë¶ú¶¾ÐÔÒ©ÎïºÏÓã¬ÓÈÆäÉöÖ°ÄܼõÍË»¼Õß¿ÉÄÜÔö³¤¶ú¶¾ÐÔ¡£8¡¢ÓëÂå·¥ËûÍ¡ºÏÓÃʱ¿ÉÒÖÔìÆä´úл¶øÊ¹ÑªÅ¨¶ÈÉÏÉý£¬¿ÉÄÜÒýÆðºáÎÆ¼¡ÈÜ»¯£¬Óëßä´ïßòÂØ»òÈýßòÂØºÏÓÃʱ¿ÉÏ÷¼õ¶þÕߵĶϸù¶ø¼ÓÇ¿Æä×÷Óá£
¡¾Ò©Îï¹ýÁ¿¡¿Ó¦ÊµÊ±Í£Ò©´ÍÓë¶ÔÖ¢ºÍÖ§³ÖÒ½ÖΡ£ÑªÒºÍ¸Îö»ò¸¹Ä¤Í¸Îöºó¼«ÉÙ±»½â³ý¡£
¡¾Ò©Àí¶¾Àí¡¿±¾Æ·Êô´ó»·ÄÚõ¥À࿹ÉúËØ£¬ÎªºìÃ¹ËØ±ûËáõ¥µÄÊ®¶þÍé»ùÁòËáÑΣ¬¶ÔÆÏÌÑÇò¾úÊô¡¢¸÷×éÁ´Çò¾úºÍ¸ïÀ¼ÑôÐԸ˾ú¾ù¾ß¿¹¾ú»îÐÔ£¬ÄÎɪ¾úÊô£¬Á÷¸ÐÊÈѪ¸Ë¾ú£¬°ÙÈտȱ«ÌØÊϾúµÈÒ²¿É¶Ô±¾Æ·³öÏÖÃô¸Ð¡£±¾Æ·¶Ô³ý´àÈõÄâ¸Ë¾úºÍËó¸Ë¾úÊôÒÔ±íµÄ¸÷ÀàÑáÑõ¾úÒà¾ß¿¹¾ú»îÐÔ£»¶ÌÚüÍžúÊô¡¢Ì¥¶ùÍäÇú¾ú¡¢Ä³Ð©ÂÝÐýÌå¡¢·ÎÑ×Ö§ÔÌå¡¢Á¢¿Ë´ÎÌåÊôºÍÒÂÔÌåÊôÒ²ÓÐÒÖÔì×÷Óᣱ¾Æ·ÏµÒÖ¾ú¼Á£¬µ«ÔÚ¸ßŨ¶Èʱ¶ÔijЩϸ¾úÒ²¾ßɱ¾ú×÷Ó㬱¾Æ·¿É͸¹ýϸ¾úϸ°ûĤ£¬ÔÚ¿¿½ü¹©Î»(¡°P¡±Î»)´¦ÓÚϸ¾úºËÌÇÌåµÄ50SÑÇ»ù³É¿ÉÄæÐÔ½áºÏ£¬×è¶ÏÁË×ªÒÆºËÌǺËËá(t-RNA )½áºÏÖÁ¡°P¡±Î»ÉÏ£¬Í¬Ê±Ò²×è¶ÏÁ˶àëÄÁ´×ÔÊÜλ(¡°A¡±Î»)ÖÁ¡°P¡±Î»µÄÎ»ÒÆ£¬Òò¶øÏ¸¾úµ°°×ÖʺϳÉÊÜÒÖÔì¡£±¾Æ·½ö¶Ô¸îÁÑ»îÔ¾µÄϸ¾úÓÐЧ¡£
¡¾Ò©´ú¶¯Á¦Ñ§¡¿¿Õ¸¹»ò·¹ºó¿Ú·þ¶¼ÎüÊպܿ죬ÔÚθËáÖнϲ»±ä¡£µ°°×½áºÏÂÊΪ90%~99%£¬¿Ú·þºóÔÚθ³¦Â·Öзֻ¯ÎªºìÃ¹ËØ±ûËáõ¥£¬²¿ÃÅÔÚѪҺÖÐË®½â³ÉÓÎÀëµÄºìÃ¹ËØ¶øÆð¿¹¾ú×÷Ó᣿ڷþ0.25¿ËºÍ0.5¿ËµÄѪҩ·åŨ¶È(Cmax)ÓÚ2Ó×ʱ´ïµ½£¬±ðÀëΪ1.4ºÁ¿Ë/ÉýºÍ4.2ºÁ¿Ë/Éý¡£ÎüÊÕºó³ýÄÔ¼¹ÒººÍÄÔ×éÖ¯±í£¬¿í·ºÉ¢²¼ÓÚ¸÷×éÖ¯ºÍÌåÒºÖУ¬ÓÈÒԸΡ¢µ¨ÖºÍÆ¢ÖеÄŨ¶ÈΪ×î¸ß£¬ÔÚÉö¡¢·ÎµÈ×éÖ¯ÖеÄŨ¶È¿ÉÓâԽѪҩŨ¶ÈÊý±¶£¬ÔÚµ¨ÖÖеÄŨ¶È¿É´ïѪҩŨ¶ÈµÄ10-40±¶ÒÔÉÏ¡£ÔÚÆ¤ÏÂ×éÖ¯¡¢Ìµ¼°Ö§Æø¹ÜÅÅйÎïÖеÄŨ¶ÈÒ²½Ï¸ß£¬ÌµÖÐŨ¶Å×ëѪҩŨ¶ÈÏà·Â£»ÔÚÐØ¡¢¸¹Ë®¡¢Å§ÒºµÈÖеÄŨ¶È¿É´ïÓÐЧˮƽ¡£±¾Æ·Óп϶¨Á¿(ԼΪѪҩŨ¶ÈµÄ33%)½øÈëǰÁÐÏÙ¼°¾«ÄÒÖУ¬µ«²»Ò×͸¹ýѪ-ÄÔ¼¹Òº·®À飬ÄÔĤÓÐÑ×֢ʱÄÔ¼¹ÒºÖÐŨ¶È½öΪѪҩŨ¶ÈµÄ10%×óÓÒ¡£¿É½øÈë̥ѪºÍÅÅÈëĸÈéÖУ¬Ì¥¶ùѪҩŨ¶ÈΪĸÌåѪҩŨ¶ÈµÄ5%~20%£¬Ä¸ÈéÖÐÒ©ÎïŨ¶È¿É´ïѪҩŨ¶ÈµÄ50%ÒÔÉÏ¡£±í¹ÛÉ¢²¼ÈÝ»ý(VD)Ϊ0.9Éý/ǧ¿Ë¡£ÓÎÀëºìÃ¹ËØÔÚ¸ÎÄÚ´úл£¬Ñª½â³ý°ëË¥ÆÚ(t?¦Â)Ϊ1.4~2Ó×ʱ£¬ÎÞÄò»¼ÕßµÄѪ°ëË¥ÆÚ¿Éµ¢¸éµ½4.8~6Ó×ʱ¡£ÒÀ¸½ºìÃ¹ËØÖØÒªÔÚ¸ÎÖÐŨËõºÍ´Óµ¨ÖÅųö£¬²¢½øÐг¦¸ÎÑ»·£¬Ô¼2%~5%µÄ¿Ú·þÁ¿ºÍ10%~15%µÄ×¢ÈëÁ¿×ÔÉöÓ×ÇòÂ˹ýÅųý£¬ÄòÖÐŨ¶È¿É´ï10~100ºÁ¿Ë/Éý¡£·à±ãÖÐÒ²º¬Óп϶¨Á¿¡£Ñª»ò¸¹Ä¤Í¸Îöºó¼«ÉÙ±»¶Ï¸ù£¬¹Ê͸ÎöºóÎÞÐè¼ÓÓá£
¡¾Öü²Ø¡¿Õڹ⣬ÃÜ·â±£Áô¡£
¡¾°ü×°¡¿Ò©Óø´ºÏĤ£»10´ü/ºÐ¡£
¡¾ÓÐЧÆÚ¡¿24¸öÔÂ
¡¾Ö´Ðг߶ȡ¿¡¶ÖйúÒ©µä¡·2020Äê°æ¶þ²¿
¡¾ºË×¼Îĺš¿¹úÒ©×¼×ÖH14020421
¡¾ÉÏÊÐÐí¿É³ÖÓÐÈË¡¿Ãû³Æ£ºÉ½Î÷Å·²©ABG°²ÐÀÉúÎïÔìÒ©ÓÐÏÞ¹«Ë¾
×¢²áµØÖ·£ºÉ½Î÷Ê¡½úÖÐÊÐɽÎ÷ʾ·¶Çø½úÖпª·¢Çø»ãͨ²úÒµÔ°Çø»þ³Ç·908ºÅ
¡¾³ö²úÆóÒµ¡¿ÆóÒµÃû³Æ£ºÉ½Î÷Å·²©ABG°²ÐÀÉúÎïÔìÒ©ÓÐÏÞ¹«Ë¾
³ö²úµØÖ·£ºÉ½Î÷Ê¡½úÖÐÊлþ³Ç·908ºÅ(½úÖо¼Ã¼¼Êõ¿ª·¢ÇøÃñÓª¿Æ¼¼Ô°)
ÓÊÕþ±àÂ룺030600
µç»°ºÅÂ룺0354-2467981 0354-2467996
´«ÕæºÅÂ룺0354-2467996
꿅᣼www.zdjt.com
