jk.zdjt.com.png?v=1
2843586b981574ce382651da2ee6107a
Í·æß¿Ëë¿Æ¬
¡¾³É¡¡¡¡·Ý¡¿±¾Æ·ÖØÒª³É·ÝÊÇÍ·æß¿Ëë¿¡£
¡¾Ö°ÄÜÖ÷ÖΡ¿¶ÔÁ´Çò¾úÊô(³¦Çò¾úÖ®±í) £¬·ÎÑ×Çò¾ú¡¢ÁÜÇò¾ú¡¢¿¨Ëû²¼À¼ººÇò¾ú¡¢´ó³¦¸Ë¾ú¡¢¿ËÀײ®¸Ë¾úÊô¡¢É³À×¾úÊô¡¢±äÐθ˾úÊô¡¢Á÷¸Ð¸Ë¾úÖÐÍ·æß¿Ëë¿Ãô¸Ð¾úÒýÆðµÄÒÔÏÂϰȾÓÐЧ¡£
¡¾¹æ¡¡¡¡¸ñ¡¿50mg/Á£(°´C16H15N5O7S2ÍÆËã)¡£
¡¾ºË×¼Îĺš¿¹úÒ©×¼×ÖH20041379
²úÆ·×¢Ã÷

¡¾Ò©Æ·Ãû³Æ¡¿Í¨ÓÃÃû³Æ£ºÍ·æß¿Ëë¿Æ¬

        Ó¢ÎÄÃû³Æ£ºCefixime Tablets

        ººÓïÆ´Òô£ºToubaokewo Pian

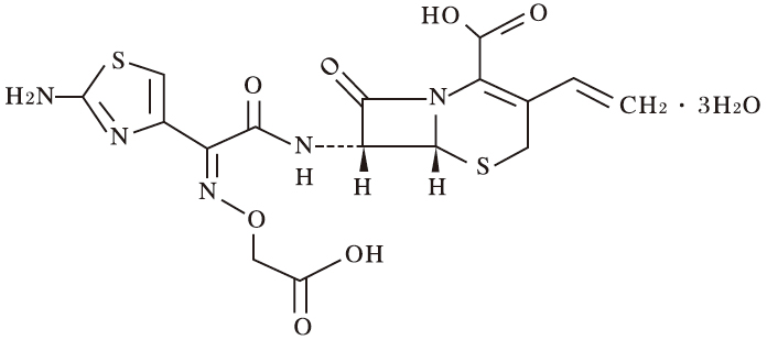
¡¾³É·Ý¡¿±¾Æ·ÖØÒª³É·ÝÊÇÍ·æß¿Ëë¿ £¬Æä»¯Ì¨¸¦Îª£º(6R £¬7R)-7-[[(Z)-2-(2-°±»ù-4-àçßò»ù)-2-[(ôȼ×Ñõ»ù)Ñǰ±»ù]ÒÒõ  £»ù]°±»ù]-3-ÒÒÏ©»ù-8-Ñõ´ú-5-ÁòÔÓ-1-µªÔÓË«»·[4 £¬2 £¬0]-ÐÁ-2-Ï©-2-ôÈËáÈýË®ºÏÎï¡£

     Æä½á¹¹Ê½Îª£º

Í·æß¿Ëë¿Æ¬

     ·Ö×Óʽ£ºC16H15N5O7S2¡¤3H2O

     ·Ö×ÓÁ¿£º507.50

¡¾ÐÔ×´¡¿±¾Æ·ÎªÀà°×ɫƬ»ò±¡Ä¤ÒÂÆ¬ £¬³ýÈ¥±¡Ä¤ÒºóÏÔ°×É«ÖÁµ­»ÆÉ«¡£

¡¾ÊÊÓ¦Ö¢¡¿¶ÔÁ´Çò¾úÊô(³¦Çò¾úÖ®±í) £¬·ÎÑ×Çò¾ú¡¢ÁÜÇò¾ú¡¢¿¨Ëû²¼À¼ººÇò¾ú¡¢´ó³¦¸Ë¾ú¡¢¿ËÀײ®¸Ë¾úÊô¡¢É³À×¾úÊô¡¢±äÐθ˾úÊô¡¢Á÷¸Ð¸Ë¾úÖÐÍ·æß¿Ëë¿Ãô¸Ð¾úÒýÆðµÄÒÔÏÂϰȾÓÐЧ¡£1¡¢ÂýÐÔÖ§Æø¹ÜÑ×¼±ÐÔ²úÉú¡¢¼±ÐÔÖ§Æø¹ÜÑײ¢·¢Ï¸¾úϰȾ¡¢Ö§Æø¹ÜÀ©ÕŹ鲢ϰȾ¡¢·ÎÑ×  £»2¡¢ÉöÓÛÉöÑס¢°òë×Ñס¢ÁÜÇò¾úÐÔÄò·Ñ×  £»3¡¢¼±ÐÔµ¨Â·ÏµÍ³Ï¸¾úÐÔϰȾ(µ¨ÄÒÑס¢µ¨¹ÜÑ×)  £»4¡¢ÐɺìÈÈ  £»5¡¢ÖжúÑס¢±Çñ¼Ñס£

¡¾¹æ¸ñ¡¿50mg/Á£(°´C16H15N5O7S2ÍÆËã)¡£

¡¾Ó÷¨ÓÃÁ¿¡¿¿Ú·þ¡£³ÉÈ˼°Ìå³Á30¹«½ïÒÔÉ϶ùͯÓÃÁ¿£º¿Ú·þ £¬Ò»´Î100mg(2Á£) £¬Ò»ÈÕ¶þ´Î  £»³ÉÈ˳Á֢ϰȾÕß £¬¿ÉÔö³¤ÖÁÒ»´Î200mg(4Á£) £¬Ò»ÈÕ¶þ´Î¡£¶ùͯ£º¿Ú·þ £¬°´Ò»´Îÿ¹«½ï1.5¡«3.0mgÍÆËã¸øÒ©Á¿ £¬Ò»ÈÕ¶þ´Î¡  £»ò×ñÒ½Öö¡£

¡¾²»Á¼·´Ó³¡¿ÔÚ×ܲ¡Àý12879ÀýÖÐ £¬·¢ÏÖÔ̺¬ÁÙ´²²é³­ÖµÒì³£ÔÚÄÚ¹²294Àý(2.58%)µÄ²»Á¼·´Ó³¡£ÕâЩ²»Á¼·´Ó³Ô̺¬¸¹ÐºµÈÏû»¯Â·Ö¢×´112Àý(0.87%) £¬Æ¤ÕîµÈƤ·ôÖ¢×´29Àý(0.23%) £¬Áí±í £¬ÁÙ´²²é³­ÖµÒì³£Ô̺¬GPTÉý¸ß78Àý(0.61%) £¬GOTÉý¸ß58Àý(0.45%) £¬ÊÈËáϸ°ûÔö¶à26Àý(0.20%)µÈ¡£1¡¢ÑϳÁ²»Á¼·´Ó³£º¢ÙÐݿˣºÓÉÓÚÒýÆðÐÝ¿Ë(<0.1%)µÄ¿ÉÄÜÐÔ £¬Ó¦Ç×êǹ۲ì £¬ÈçÓгöÏÖ²»ÊʸÐ £¬¿ÚÄÚÒì³£¸Ó×¢Ïø´­¡¢Ñ£ÔΡ¢±ãÒâ¡¢¶úÃù¡¢³öº¹µÈ¾°Ïó £¬Ó¦ÖÕ³¡¸øÒ© £¬²ÉÈ¡Êʵ±´ëÖà  £»¢Ú¹ýÃôÑùÖ¢×´£ºÓгöÏÖ¹ýÃôÑùÖ¢×´(Ô̺¬ºôÎüÄÑÌ⡢ȫÉí³±ºì¡¢Ñª¹ÜÐÔË®Öס¢Ý¡ÂéÕîµÈ)(<0.1%£©µÄ¿ÉÄÜÐÔ £¬Ó¦Ç×êǹ۲ì £¬ÈçÓÐÒì³£²úÉúʱÖÕ³¡¸øÒ© £¬²ÉÈ¡Êʵ±´ëÖà  £»¢ÛƤ·ô²¡±ä£ºÓвúÉúƤ·ôճĤÑÛÖ¢ºòȺ(Stevens-JohnsonÖ¢ºòȺ<0.1%)¡¢Öж¾ÐÔ±íÆ¤»µËÀÖ¢(LyellÖ¢ºòȺ £¬<0.1%)µÄ¿ÉÄÜÐÔ £¬Ó¦Ç×êǹ۲ì £¬ÈçÓвúÉú·¢ÈÈ¡¢Í·Í´¡¢¹Ø½ÚÍ´¡¢Æ¤·ô»òճĤºì°ß¡¢Ë®ÅÝ¡¢Æ¤·ôÑÏÖØ¸ÓעׯÈȸÓ×¢ÌÛÍ´µÈÖ¢×´ £¬Ó¦ÖÕ³¡¸øÒ© £¬²ÉÈ¡Êʵ±´ëÖà  £»¢ÜѪҺ×è°­£ºÓвúÉúÁ£Ï¸°û²»×ãÖ¢(<0.1% £¬ÔçÆÚÖ¢×´£º·¢ÈÈ¡¢ÑʺíÌÛ¡¢Í·ÌÛ¡¢¾ëµ¡¸ÐµÈ)¡¢ÈÜѪÐÔѪÐé(<0.1% £¬ÔçÆÚÖ¢×´£º·¢ÈÈ¡¢Ñªºìµ°°×Äò¡¢ÑªÐéµÈÖ¢×´)¡¢ÑªÓ×°åÏ÷¼õ(<0.1% £¬ÔçÆÚÖ¢×´£ºµã×´³öѪ¡¢×ϰߵÈ)µÄ¿ÉÄÜÐÔ £¬ÇÒÓÐÆäËûÍ·æßÀ࿹ÉúËØÔìÓñ³ÉѪϸ°ûÏ÷¼õµÄ»ã±¨ £¬Òò¶øÓ¦Ç×êǹ۲ì £¬ÀýÈç½øÐж¨ÆÚ²é³­µÈ £¬ÓÐÒì³£²úÉúʱӦÖÕ³¡¸øÒ© £¬²ÉÈ¡Êʵ±´ëÖà  £»¢ÝÉöÖ°ÄÜ×è°­£ºÓÉÓÚÒýÆð¼±ÐÔÉöÖ°Äܲ»È«µÈÑϳÁÉöÖ°ÄÜ×è°­(<0.1%)µÄ¿ÉÄÜÐÔ £¬Òò¶øÓ¦Ç×êǹ۲ì £¬ÀýÈ綨ÆÚ½øÐв鳭µÈ £¬ÈçÓÐÒì³£²úÉúʱ £¬Ó¦ÖÕ³¡¸øÒ© £¬²ÉÈ¡Êʵ±´ëÖà  £»¢Þ½á³¦Ñ×£º¿ÉÄÜÒýÆð°éÓÐѪ±ãµÄÑϳÁ´ó³¦Ñ×ÀýÈçαĤÐԽ᳦Ñ×µÈ(<0.1%)¡£ÈçÓи¹Í´¡¢·´¸´¸¹Ðº³öÏÖʱ £¬¸Ãµ±¼´ÖÕ³¡¸øÒ© £¬²ÉÈ¡Êʵ±´ëÖà  £»¢ß¼äÖÊÐÔ·ÎÑס¢PIEÖ¢ºòȺ£ºÓгöÏÖ°éÓз¢ÈÈ¡¢¿ÈËÔ¡¢ºôÎüÄÑÌâ¡¢ÐØ²¿XÏßÒì³£¡¢ÊÈËáϸ°ûÔö¶àµÈÖ¢×´µÄ¼äÖÊÐÔ·ÎÑס¢PIEÖ¢ºòȺ(±ðÀë<0.1%)µÈµÄ¿ÉÄÜÐÔ £¬ÈçÓÐÉÏÊöÖ¢×´²úÉúÓ¦ÖÕ³¡¸øÒ© £¬²ÉÈ¡´ÍÓëÌÇÆ¤Öʼ¤ËصÈÊʵ±´ëÖá£2¡¢ÆäËû²»Á¼·´Ó³£º²»Á¼·´Ó³²úÉúÂÊÔÚ0.1¡«5%Ϊ³£¼û £¬ÔÚ0.1%ÒÔÏÂΪÉÙ¼û¡£¹ýÃô£º³£¼ûƤÕݡÂéÕî¡¢ºì°ß £¬ÉÙ¼ûðþÑ÷¡¢·¢ÈÈ¡¢¸¡Ö×  £»ÑªÒº£º³£¼û(0.1¡«5%)ÊÈËáϸ°ûÔö¶à £¬ÉÙ¼ûÁ£Ï¸°ûÏ÷¼õ  £»¸ÎÔࣺ³£¼û¹È±ûת°±Ã¸(ALP/GPT)Éý¸ß¡¢¹È±ûת°±Ã¸(AST/GOT)Éý¸ß £¬ÉÙ¼û»Æðã  £»ÉöÔࣺÉÙ¼ûÄòËØµª(BUN)Éý¸ß  £»Ïû»¯ÏµÍ³£º³£¼ûÓи¹Ðº¡¢Î¸²¿²»ÊÊ £¬ÉÙ¼û¶ñÐÄ¡¢Å»Í¡¢¸¹Í´¡¢Ðز¿ÉÕׯ¸ÓעʳÓû²»Õñ¡¢¸¹²¿¹ÄÂú¸Ó×¢±ãÃØ  £»¾úȺʧµ÷Ö¢£ºÉÙ¼û¿ÚÇ»Ñס¢¿ÚÇ»ÏëÇò¾úÖ¢  £»Î¬ÉúËØ²»×ãÖ¢£ºÉÙ¼ûάÉúËØK²»×ãÖ¢(µÍÄýѪøԭѪ֢ £¬³öѪƫ²îµÈ)¡¢Î¬ÉúËØB²»×ãÖ¢ÉàÑס¢¿ÚÇ»Ñס¢Ê³Óû²»Õñ¡¢Éñ¾­Ñ×µÈ)  £»ÆäËû£ºÍ·Í´¡¢Í·ÔΡ£

¡¾½û¼É¡¿¶Ô±¾Æ·»òÆäËûÍ·æßÀ࿹ÉúËØ¹ýÃôÕß¡£

¡¾µ±¿àÖÔÏî¡¿1¡¢ÎªÔ¤·ÀÄÍÒ©¾úÖêµÄ³öÏÖ £¬ÔÚʹÓñ¾Æ·Ç°×¼ÔòÉÏӦȷÈÏÃô¸ÐÐÔ £¬½«¼ÁÁ¿½ÚÔìÔÚ½ÚÔì¼²²¡ËùÐè×îÓ×¼ÁÁ¿¡£2¡¢¶ÔÓÚÑϳÁÉöÖ°ÄÜ×è°­»¼Õß £¬ÓÉÓÚÒ©ÎïÔÚѪҺÖпÉά³ÖŨ¶È £¬Òò¶øÓ¦Æ¾¾ÝÉöÖ°ÄÜÇé¿öÊʵ±¼õÁ¿ £¬¸øÒ©¾àÀëÓ¦Êʵ±Ôö´ó¡£3¡¢ÏÂÁл¼ÕßÉ÷³Á¸øÒ©£º¢Ù¶ÔÇàÃ¹ËØÀàÓйýÃôÊ·µÄ»¼Õß¡£¢Ú×Ô¼º»ò¸¸Ä¸¡¢ÐÖµÜÖÐ £¬ÓµÓÐÒ×ÒýÆðÖ§Æø¹ÜÏø´­¡¢Æ¤ÕݡÂéÕîµÈ¹ýÃôÖ¢×´ÌåÖʵϼÕß¡£¢ÛÑϳÁµÄÉöÖ°ÄÜ×è°­»¼Õß¡£¢Ü¾­¿Ú¸øÒ©ÄÑÌâ»ò·Ç¾­¿ÚÓªÑø»¼Õß £¬È«Éí¶ñÒºÖÊ״̬»¼Õß¡£(ÒòʱÓгöÏÖάÉúËØK²»×ãÖ¢×´ £¬¸Ã°ÑÎȹ۲ì)¡£4¡¢ÓÉÓÚÓпÉÄܳöÏÖÐÝ¿Ë £¬¸øÒ©Ç°Ó¦³ä·ÖѯÎʲ¡Ê·¡£5¡¢²»Òª½«Å£ÄÌ¡¢¹ûÖ­µÅ×ëÒ©»ìºÏºó¸éÖá£6¡¢¶ÔÁÙ´²¼ìÑéÁ˾ֵÄÓ°Ï죺¢Ù³ýÊÔÖ½·´Ó³ÒÔ±í £¬¶Ô°ßÊÏ(Benedict)ÊÔ¼Á¡¢ÑÇÌú(Fehling)ÊÔ¼Á¡¢ÄòÌÇÊÔÒ©Íè(Clinitest)½øÐÐÄòÌDz鳭 £¬ÓмÙÑôÐÔ³öÏֵĿÉÄÜÐÔ £¬Ó¦ÓèÒÔ°ÑÎÈ¡£¢ÚÓгöÏÖÖ±½Ó¿âķ˹ÊÔÑéÑôÐԵĿÉÄÜÐÔ £¬Ó¦ÓèÒÔ°ÑÎÈ¡£

¡¾Ôи¾¼°²¸ÈéÆÚ¸¾Å®ÓÃÒ©¡¿»³Ì¥ÆÚ¸¾Å®Ê¹Óñ¾Æ·µÄ°²È«ÐÔºÍÓÐЧÐÔÉÐδȷÁ¢ £¬½öÔÚµÄÈ·±ØÒªÊ¹ÓÃʱʹÓñ¾Æ·  £»Éв»Ã÷ÏÔ±¾Æ·ÊÇ·ñ´ÓÈé֭ƽÅÅй £¬±ØÐëʹÓÃʱӦÔÝÍ£²¸Èé¡£

¡¾¶ùͯÓÃÒ©¡¿¶ÔÓÚÔç²ú¶ù¡¢ÐÂÉú¶ùÓÃÒ©µÄ°²È«ÐÔÉÐδȷÁ¢(ûÓÐʹÓþ­Ñé)¡£

¡¾ÀÏÄêÓÃÒ©¡¿ÀÏÄ껼ÕßÓÃÒ©×üõ¡£

¡¾Ò©ÎïÏ໥×÷Óá¿¿¨ÂíÎ÷ƽ£ºÓ뱾ƷºÏÓÃʱ¿ÉÒýÆð¿¨ÂíÎ÷ƽˮƽÉý¸ß £¬±ØÐëºÏÓÃʱӦ¼à²âѪ½¬Öп¨ÂíÎ÷ƽŨ¶È¡  £»ª·¨ÁîºÍ¿¹ÄýÒ©ÎÓ뱾ƷºÏÓÃʱÔö³¤ÄýѪøԭ¹¦·ò¡£

¡¾Ò©Îï¹ýÁ¿¡¿Ï´Î¸ £¬ÎÞÌØÊâ½â¶¾Ò©Îï £¬ÑªÒºÍ¸ÎöºÍ¸¹Ä¤Í¸Îö²»ÄÜÓÐЧ½«±¾Æ·¶Ï¸ù¡£

¡¾Ò©Àí¶¾Àí¡¿Ò©Àí×÷Ó㺱¾Æ·Îª¿Ú·þµÚÈý´úÍ·æß¾úËØ £¬¿¹¾úÆ×¹ã £¬¶Ô²¿ÃŸïÀ¼ÊÏÑôÐÔ¾ú¼°ÒõÐÔ¾ú¾ùÓµÓп¹¾ú»îÐÔ £¬³ö¸ñÊǶԸïÀ¼ÊÏÑôÐÔ¾úÖеÄÁ´Çò¾ú(³¦Çò¾úÖ®±í)¡¢·ÎÑ×Çò¾ú £¬¸ïÀ¼ÊÏÒõÐÔ¾úÖеÄÁÜÇò¾ú¡¢²¼À¼ººÊÏÇò¾ú¡¢´ó³¦¾ú¡¢¿ËÀײ®ÊÏÊô¡¢É³À×ÊÏÊô¡¢±äÐθ˾úÊô¡¢Á÷¸Ð¸Ë¾úµÅ×нÏÇ¿µÄ¿¹¾ú×÷Óà £¬Æä×÷ÓûúÔìΪ×èֹϸ¾úϸ°û±ÚµÄºÏ³É £¬Æä×÷ÓõãÒòϸ¾úµÄÖÖÀà¶øÒì £¬ÓëÇàÃ¹ËØ½áºÏµ°°×(PBP£©ÖÐPBP1(1a £¬1b £¬1c)ÒÔ¼°PBP3ÓнϸßÇ׺ÍÐÔ¡£±¾Æ·¶Ô¸÷Ààϸ¾ú²úÉúµÄ¦Â-ÄÚõ£°·Ã¸ÓµÓнÏÇ¿µÄ²»±äÐÔ¡£

       ÉúÖ³¶¾ÐÔ£ºSD´óÊóÔÚ»³Ì¥Ç°ºÍ»³Ì¥³õÆÚ¿Ú·þ¸øÒ©100¡«1000mg/kg £¬ÔÚÆ÷¹ÙÐÎ³ÉÆÚ¡¢Î§²úÆÚ¡¢²¸ÈéÆÚ¿Ú·þ¸øÒ©320¡«3200mg/kg £¬¶Ô´óÊóÉúÓýÁ¦Î´¼ûÓ°Ïì £¬Î´³öÏÖÖ»û×÷Óà £¬ÐÂÉúÓ×ÊóµÄ³É³¤¡¢·¢ÓýºÍÉúÖ³ÄÜÁ¦Ò²Î´·¢ÏÖÒì³£¡£

¡¾Ò©´ú¶¯Á¦Ñ§¡¿¾ÝPDR57°æ£ºÍ·æß¿Ëë¿¿Ú·þºó £¬Æä¾ø¶ÔÉúÎïÀûÓöÈΪ40¡«50% £¬²»ÊÜÒûʳӰÏ졣ͷæß¿Ëë¿Æ¬¼Á200mgµ¥¼Á¿Ú·þ £¬Ñª½¬·åŨ¶ÈΪ3.7¦Ìg/ml £¬µÈ¼ÁÁ¿¿Ú·þÍ·æß¿Ëë¿»ìÐüÒº²úÉúµÄ·åŨ¶È±ÈƬ¼ÁÓâÔ½25%¡«50%¡£Í·æß¿Ëë¿200mg»ìÐüÒººÍ400mg»ìÐüÒº²úÉúµÄ¾ùÔÈ·åŨ¶ÈΪ3¦Ìg/mlºÍ4.6¦Ìg/ml £¬¿Ú·þÍ·æß¿Ëë¿»ìÐüÒº100mgÖÁ400mg £¬¹¦·ò-Ũ¶ÈÇúÏßÏÂÃæ»ý±È¿Ú·þµÈ¼ÁÁ¿Æ¬¼ÁÓâÔ½10%-25% £¬»ìÐüÒº¼ÁÐÍ´úÌæÆ¬¼Á¼ÁÐÍÓ¦ÊÔÂǵ½ÆäÔö³¤µÄÎüÊÕÁ¿¡£µ¥¼Á¿Ú·þ200mgƬ¼Á¡¢400mgƬ¼Á¡¢400mg»ìÐüÒºµÄ´ï·å¹¦·òΪ2¡«6Ó×ʱ £¬µ¥¼Á¿Ú·þ200mg»ìÐüÒºµÄ´ï·å¹¦·òΪ2¡«5Ó×ʱ £¬24Ó×ʱÄÚÎüÊÕÒ©ÎïµÄ50%ÒÔÕæÏà´ÓÄòÖÐÅųö¡£ÑªÇåµ°°×½áºÏÂÊΪ65% £¬Â½Ðø·þÒ©14Ìì £¬Î´·¢ÏÖÍ·æß¿Ëë¿ÔÚÌåÄÚÓÐÐî»ý×÷Óà £¬Í·æß¿Ëë¿Ñª½¬°ëË¥ÆÚΪ3¡«4Ó×ʱ £¬µ«ÔÚһЩ×ÔÔ¸Õ߿ɴï9Ó×ʱ £¬Óë¼ÁÐÍÎ޹ء£

         ÌØÊâÈËȺҩ´ú¶¯Á¦Ñ§£ºÀÏÄ껼ÕߣºÎÈ̬ʱ¾ùÔÈAUCs±ÈÕý³£³ÉÄêÈËÔ¼ÓÐ40%µÄÉý¸ß¡£ÉöÖ°Äܲ»È«ÊÜÊÔÕߣº¼¡ôû¶Ï¸ùÂÊΪ20¡«50ml/minʱ £¬Í·æß¿Ë뿾ùÔÈѪÇå°ëË¥ÆÚµ¢¸éÖÁ6.4Ó×ʱ  £»¼¡ôû¶Ï¸ùÂÊΪ5¡«20ml/minʱ £¬Í·æß¿Ë뿾ùÔÈѪÇå°ëË¥ÆÚµ¢¸éÖÁ11.5Ó×ʱ¡£ÑªÒºÍ¸ÎöºÍ¸¹Ä¤Í¸Îö£ºÍ·æß¿Ë뿲»ÄÜÓÐЧµØ´ÓѪÖжϸù¡£µ«Ò²ÓÐÎļþÌáÐÑ £¬ÑªÒºÍ¸ÎöµÄ»¼Õß £¬·þÓÃ400mg¼ÁÁ¿Í·æß¿Ëë¿ £¬ÆäѪÖб䶯Çé¿öºÍ¼¡ôû¶Ï¸ùÂÊˮƽΪ21¡«60ml/minµÄÊÜÊÔÕßÀàËÆ¡£

¡¾Öü²Ø¡¿Õڹ⠣¬ÃÜ·â £¬ÔÚÒõÁ¹´¦(²»³¬¹ý20¡æ)±£Áô¡£

¡¾°ü×°¡¿ÂÁ²­ÆøÅÝÑÛ°ü×° £¬50mg¡Ál2Ƭ/ºÐ¡£

¡¾ÓÐЧÆÚ¡¿24¸öÔ¡£

¡¾Ö´Ðг߶ȡ¿¡¶ÖйúÒ©µä¡·2020Äê°æ¶þ²¿

¡¾ºË×¼Îĺš¿¹úÒ©×¼×ÖH20041379

¡¾ÉÏÊÐÐí¿É³ÖÓÐÈË¡¿Ãû³Æ£ºÉ½Î÷Å·²©ABG̩ʢÔìÒ©ÓÐÏÞ¹«Ë¾

            ×¢²áµØÖ·£ºÉ½Î÷Ê¡´óͬÊо­¼Ã¼¼Êõ¿ª·¢ÇøµÚÒ»Ò½Ò©Ô°Çø

¡¾³ö²úÆóÒµ¡¿ÆóÒµÃû³Æ£ºÉ½Î÷Å·²©ABG̩ʢÔìÒ©ÓÐÏÞ¹«Ë¾

        ³ö²úµØÖ·£ºÉ½Î÷Ê¡´óͬÊо­¼Ã¼¼Êõ¿ª·¢ÇøµÚÒ»Ò½Ò©Ô°Çø

        ÓÊÕþ±àÂ룺037300

        µç»°ºÅÂ룺0352¡ª7290991

        ´«ÕæºÅÂ룺0352¡ª7290990

2843586b981574ce382651da2ee6107a
Í·æß¿Ëë¿Æ¬
¡¾³É¡¡¡¡·Ý¡¿±¾Æ·ÖØÒª³É·ÝÊÇÍ·æß¿Ëë¿¡£
¡¾Ö°ÄÜÖ÷ÖΡ¿¶ÔÁ´Çò¾úÊô(³¦Çò¾úÖ®±í) £¬·ÎÑ×Çò¾ú¡¢ÁÜÇò¾ú¡¢¿¨Ëû²¼À¼ººÇò¾ú¡¢´ó³¦¸Ë¾ú¡¢¿ËÀײ®¸Ë¾úÊô¡¢É³À×¾úÊô¡¢±äÐθ˾úÊô¡¢Á÷¸Ð¸Ë¾úÖÐÍ·æß¿Ëë¿Ãô¸Ð¾úÒýÆðµÄÒÔÏÂϰȾÓÐЧ¡£
¡¾¹æ¡¡¡¡¸ñ¡¿50mg/Á£(°´C16H15N5O7S2ÍÆËã)¡£
¡¾ºË×¼Îĺš¿¹úÒ©×¼×ÖH20041379
²úÆ·×¢Ã÷

¡¾Ò©Æ·Ãû³Æ¡¿Í¨ÓÃÃû³Æ£ºÍ·æß¿Ëë¿Æ¬

        Ó¢ÎÄÃû³Æ£ºCefixime Tablets

        ººÓïÆ´Òô£ºToubaokewo Pian

¡¾³É·Ý¡¿±¾Æ·ÖØÒª³É·ÝÊÇÍ·æß¿Ëë¿ £¬Æä»¯Ì¨¸¦Îª£º(6R £¬7R)-7-[[(Z)-2-(2-°±»ù-4-àçßò»ù)-2-[(ôȼ×Ñõ»ù)Ñǰ±»ù]ÒÒõ  £»ù]°±»ù]-3-ÒÒÏ©»ù-8-Ñõ´ú-5-ÁòÔÓ-1-µªÔÓË«»·[4 £¬2 £¬0]-ÐÁ-2-Ï©-2-ôÈËáÈýË®ºÏÎï¡£

     Æä½á¹¹Ê½Îª£º

Í·æß¿Ëë¿Æ¬

     ·Ö×Óʽ£ºC16H15N5O7S2¡¤3H2O

     ·Ö×ÓÁ¿£º507.50

¡¾ÐÔ×´¡¿±¾Æ·ÎªÀà°×ɫƬ»ò±¡Ä¤ÒÂÆ¬ £¬³ýÈ¥±¡Ä¤ÒºóÏÔ°×É«ÖÁµ­»ÆÉ«¡£

¡¾ÊÊÓ¦Ö¢¡¿¶ÔÁ´Çò¾úÊô(³¦Çò¾úÖ®±í) £¬·ÎÑ×Çò¾ú¡¢ÁÜÇò¾ú¡¢¿¨Ëû²¼À¼ººÇò¾ú¡¢´ó³¦¸Ë¾ú¡¢¿ËÀײ®¸Ë¾úÊô¡¢É³À×¾úÊô¡¢±äÐθ˾úÊô¡¢Á÷¸Ð¸Ë¾úÖÐÍ·æß¿Ëë¿Ãô¸Ð¾úÒýÆðµÄÒÔÏÂϰȾÓÐЧ¡£1¡¢ÂýÐÔÖ§Æø¹ÜÑ×¼±ÐÔ²úÉú¡¢¼±ÐÔÖ§Æø¹ÜÑײ¢·¢Ï¸¾úϰȾ¡¢Ö§Æø¹ÜÀ©ÕŹ鲢ϰȾ¡¢·ÎÑ×  £»2¡¢ÉöÓÛÉöÑס¢°òë×Ñס¢ÁÜÇò¾úÐÔÄò·Ñ×  £»3¡¢¼±ÐÔµ¨Â·ÏµÍ³Ï¸¾úÐÔϰȾ(µ¨ÄÒÑס¢µ¨¹ÜÑ×)  £»4¡¢ÐɺìÈÈ  £»5¡¢ÖжúÑס¢±Çñ¼Ñס£

¡¾¹æ¸ñ¡¿50mg/Á£(°´C16H15N5O7S2ÍÆËã)¡£

¡¾Ó÷¨ÓÃÁ¿¡¿¿Ú·þ¡£³ÉÈ˼°Ìå³Á30¹«½ïÒÔÉ϶ùͯÓÃÁ¿£º¿Ú·þ £¬Ò»´Î100mg(2Á£) £¬Ò»ÈÕ¶þ´Î  £»³ÉÈ˳Á֢ϰȾÕß £¬¿ÉÔö³¤ÖÁÒ»´Î200mg(4Á£) £¬Ò»ÈÕ¶þ´Î¡£¶ùͯ£º¿Ú·þ £¬°´Ò»´Îÿ¹«½ï1.5¡«3.0mgÍÆËã¸øÒ©Á¿ £¬Ò»ÈÕ¶þ´Î¡  £»ò×ñÒ½Öö¡£

¡¾²»Á¼·´Ó³¡¿ÔÚ×ܲ¡Àý12879ÀýÖÐ £¬·¢ÏÖÔ̺¬ÁÙ´²²é³­ÖµÒì³£ÔÚÄÚ¹²294Àý(2.58%)µÄ²»Á¼·´Ó³¡£ÕâЩ²»Á¼·´Ó³Ô̺¬¸¹ÐºµÈÏû»¯Â·Ö¢×´112Àý(0.87%) £¬Æ¤ÕîµÈƤ·ôÖ¢×´29Àý(0.23%) £¬Áí±í £¬ÁÙ´²²é³­ÖµÒì³£Ô̺¬GPTÉý¸ß78Àý(0.61%) £¬GOTÉý¸ß58Àý(0.45%) £¬ÊÈËáϸ°ûÔö¶à26Àý(0.20%)µÈ¡£1¡¢ÑϳÁ²»Á¼·´Ó³£º¢ÙÐݿˣºÓÉÓÚÒýÆðÐÝ¿Ë(<0.1%)µÄ¿ÉÄÜÐÔ £¬Ó¦Ç×êǹ۲ì £¬ÈçÓгöÏÖ²»ÊʸÐ £¬¿ÚÄÚÒì³£¸Ó×¢Ïø´­¡¢Ñ£ÔΡ¢±ãÒâ¡¢¶úÃù¡¢³öº¹µÈ¾°Ïó £¬Ó¦ÖÕ³¡¸øÒ© £¬²ÉÈ¡Êʵ±´ëÖà  £»¢Ú¹ýÃôÑùÖ¢×´£ºÓгöÏÖ¹ýÃôÑùÖ¢×´(Ô̺¬ºôÎüÄÑÌ⡢ȫÉí³±ºì¡¢Ñª¹ÜÐÔË®Öס¢Ý¡ÂéÕîµÈ)(<0.1%£©µÄ¿ÉÄÜÐÔ £¬Ó¦Ç×êǹ۲ì £¬ÈçÓÐÒì³£²úÉúʱÖÕ³¡¸øÒ© £¬²ÉÈ¡Êʵ±´ëÖà  £»¢ÛƤ·ô²¡±ä£ºÓвúÉúƤ·ôճĤÑÛÖ¢ºòȺ(Stevens-JohnsonÖ¢ºòȺ<0.1%)¡¢Öж¾ÐÔ±íÆ¤»µËÀÖ¢(LyellÖ¢ºòȺ £¬<0.1%)µÄ¿ÉÄÜÐÔ £¬Ó¦Ç×êǹ۲ì £¬ÈçÓвúÉú·¢ÈÈ¡¢Í·Í´¡¢¹Ø½ÚÍ´¡¢Æ¤·ô»òճĤºì°ß¡¢Ë®ÅÝ¡¢Æ¤·ôÑÏÖØ¸ÓעׯÈȸÓ×¢ÌÛÍ´µÈÖ¢×´ £¬Ó¦ÖÕ³¡¸øÒ© £¬²ÉÈ¡Êʵ±´ëÖà  £»¢ÜѪҺ×è°­£ºÓвúÉúÁ£Ï¸°û²»×ãÖ¢(<0.1% £¬ÔçÆÚÖ¢×´£º·¢ÈÈ¡¢ÑʺíÌÛ¡¢Í·ÌÛ¡¢¾ëµ¡¸ÐµÈ)¡¢ÈÜѪÐÔѪÐé(<0.1% £¬ÔçÆÚÖ¢×´£º·¢ÈÈ¡¢Ñªºìµ°°×Äò¡¢ÑªÐéµÈÖ¢×´)¡¢ÑªÓ×°åÏ÷¼õ(<0.1% £¬ÔçÆÚÖ¢×´£ºµã×´³öѪ¡¢×ϰߵÈ)µÄ¿ÉÄÜÐÔ £¬ÇÒÓÐÆäËûÍ·æßÀ࿹ÉúËØÔìÓñ³ÉѪϸ°ûÏ÷¼õµÄ»ã±¨ £¬Òò¶øÓ¦Ç×êǹ۲ì £¬ÀýÈç½øÐж¨ÆÚ²é³­µÈ £¬ÓÐÒì³£²úÉúʱӦÖÕ³¡¸øÒ© £¬²ÉÈ¡Êʵ±´ëÖà  £»¢ÝÉöÖ°ÄÜ×è°­£ºÓÉÓÚÒýÆð¼±ÐÔÉöÖ°Äܲ»È«µÈÑϳÁÉöÖ°ÄÜ×è°­(<0.1%)µÄ¿ÉÄÜÐÔ £¬Òò¶øÓ¦Ç×êǹ۲ì £¬ÀýÈ綨ÆÚ½øÐв鳭µÈ £¬ÈçÓÐÒì³£²úÉúʱ £¬Ó¦ÖÕ³¡¸øÒ© £¬²ÉÈ¡Êʵ±´ëÖà  £»¢Þ½á³¦Ñ×£º¿ÉÄÜÒýÆð°éÓÐѪ±ãµÄÑϳÁ´ó³¦Ñ×ÀýÈçαĤÐԽ᳦Ñ×µÈ(<0.1%)¡£ÈçÓи¹Í´¡¢·´¸´¸¹Ðº³öÏÖʱ £¬¸Ãµ±¼´ÖÕ³¡¸øÒ© £¬²ÉÈ¡Êʵ±´ëÖà  £»¢ß¼äÖÊÐÔ·ÎÑס¢PIEÖ¢ºòȺ£ºÓгöÏÖ°éÓз¢ÈÈ¡¢¿ÈËÔ¡¢ºôÎüÄÑÌâ¡¢ÐØ²¿XÏßÒì³£¡¢ÊÈËáϸ°ûÔö¶àµÈÖ¢×´µÄ¼äÖÊÐÔ·ÎÑס¢PIEÖ¢ºòȺ(±ðÀë<0.1%)µÈµÄ¿ÉÄÜÐÔ £¬ÈçÓÐÉÏÊöÖ¢×´²úÉúÓ¦ÖÕ³¡¸øÒ© £¬²ÉÈ¡´ÍÓëÌÇÆ¤Öʼ¤ËصÈÊʵ±´ëÖá£2¡¢ÆäËû²»Á¼·´Ó³£º²»Á¼·´Ó³²úÉúÂÊÔÚ0.1¡«5%Ϊ³£¼û £¬ÔÚ0.1%ÒÔÏÂΪÉÙ¼û¡£¹ýÃô£º³£¼ûƤÕݡÂéÕî¡¢ºì°ß £¬ÉÙ¼ûðþÑ÷¡¢·¢ÈÈ¡¢¸¡Ö×  £»ÑªÒº£º³£¼û(0.1¡«5%)ÊÈËáϸ°ûÔö¶à £¬ÉÙ¼ûÁ£Ï¸°ûÏ÷¼õ  £»¸ÎÔࣺ³£¼û¹È±ûת°±Ã¸(ALP/GPT)Éý¸ß¡¢¹È±ûת°±Ã¸(AST/GOT)Éý¸ß £¬ÉÙ¼û»Æðã  £»ÉöÔࣺÉÙ¼ûÄòËØµª(BUN)Éý¸ß  £»Ïû»¯ÏµÍ³£º³£¼ûÓи¹Ðº¡¢Î¸²¿²»ÊÊ £¬ÉÙ¼û¶ñÐÄ¡¢Å»Í¡¢¸¹Í´¡¢Ðز¿ÉÕׯ¸ÓעʳÓû²»Õñ¡¢¸¹²¿¹ÄÂú¸Ó×¢±ãÃØ  £»¾úȺʧµ÷Ö¢£ºÉÙ¼û¿ÚÇ»Ñס¢¿ÚÇ»ÏëÇò¾úÖ¢  £»Î¬ÉúËØ²»×ãÖ¢£ºÉÙ¼ûάÉúËØK²»×ãÖ¢(µÍÄýѪøԭѪ֢ £¬³öѪƫ²îµÈ)¡¢Î¬ÉúËØB²»×ãÖ¢ÉàÑס¢¿ÚÇ»Ñס¢Ê³Óû²»Õñ¡¢Éñ¾­Ñ×µÈ)  £»ÆäËû£ºÍ·Í´¡¢Í·ÔΡ£

¡¾½û¼É¡¿¶Ô±¾Æ·»òÆäËûÍ·æßÀ࿹ÉúËØ¹ýÃôÕß¡£

¡¾µ±¿àÖÔÏî¡¿1¡¢ÎªÔ¤·ÀÄÍÒ©¾úÖêµÄ³öÏÖ £¬ÔÚʹÓñ¾Æ·Ç°×¼ÔòÉÏӦȷÈÏÃô¸ÐÐÔ £¬½«¼ÁÁ¿½ÚÔìÔÚ½ÚÔì¼²²¡ËùÐè×îÓ×¼ÁÁ¿¡£2¡¢¶ÔÓÚÑϳÁÉöÖ°ÄÜ×è°­»¼Õß £¬ÓÉÓÚÒ©ÎïÔÚѪҺÖпÉά³ÖŨ¶È £¬Òò¶øÓ¦Æ¾¾ÝÉöÖ°ÄÜÇé¿öÊʵ±¼õÁ¿ £¬¸øÒ©¾àÀëÓ¦Êʵ±Ôö´ó¡£3¡¢ÏÂÁл¼ÕßÉ÷³Á¸øÒ©£º¢Ù¶ÔÇàÃ¹ËØÀàÓйýÃôÊ·µÄ»¼Õß¡£¢Ú×Ô¼º»ò¸¸Ä¸¡¢ÐÖµÜÖÐ £¬ÓµÓÐÒ×ÒýÆðÖ§Æø¹ÜÏø´­¡¢Æ¤ÕݡÂéÕîµÈ¹ýÃôÖ¢×´ÌåÖʵϼÕß¡£¢ÛÑϳÁµÄÉöÖ°ÄÜ×è°­»¼Õß¡£¢Ü¾­¿Ú¸øÒ©ÄÑÌâ»ò·Ç¾­¿ÚÓªÑø»¼Õß £¬È«Éí¶ñÒºÖÊ״̬»¼Õß¡£(ÒòʱÓгöÏÖάÉúËØK²»×ãÖ¢×´ £¬¸Ã°ÑÎȹ۲ì)¡£4¡¢ÓÉÓÚÓпÉÄܳöÏÖÐÝ¿Ë £¬¸øÒ©Ç°Ó¦³ä·ÖѯÎʲ¡Ê·¡£5¡¢²»Òª½«Å£ÄÌ¡¢¹ûÖ­µÅ×ëÒ©»ìºÏºó¸éÖá£6¡¢¶ÔÁÙ´²¼ìÑéÁ˾ֵÄÓ°Ï죺¢Ù³ýÊÔÖ½·´Ó³ÒÔ±í £¬¶Ô°ßÊÏ(Benedict)ÊÔ¼Á¡¢ÑÇÌú(Fehling)ÊÔ¼Á¡¢ÄòÌÇÊÔÒ©Íè(Clinitest)½øÐÐÄòÌDz鳭 £¬ÓмÙÑôÐÔ³öÏֵĿÉÄÜÐÔ £¬Ó¦ÓèÒÔ°ÑÎÈ¡£¢ÚÓгöÏÖÖ±½Ó¿âķ˹ÊÔÑéÑôÐԵĿÉÄÜÐÔ £¬Ó¦ÓèÒÔ°ÑÎÈ¡£

¡¾Ôи¾¼°²¸ÈéÆÚ¸¾Å®ÓÃÒ©¡¿»³Ì¥ÆÚ¸¾Å®Ê¹Óñ¾Æ·µÄ°²È«ÐÔºÍÓÐЧÐÔÉÐδȷÁ¢ £¬½öÔÚµÄÈ·±ØÒªÊ¹ÓÃʱʹÓñ¾Æ·  £»Éв»Ã÷ÏÔ±¾Æ·ÊÇ·ñ´ÓÈé֭ƽÅÅй £¬±ØÐëʹÓÃʱӦÔÝÍ£²¸Èé¡£

¡¾¶ùͯÓÃÒ©¡¿¶ÔÓÚÔç²ú¶ù¡¢ÐÂÉú¶ùÓÃÒ©µÄ°²È«ÐÔÉÐδȷÁ¢(ûÓÐʹÓþ­Ñé)¡£

¡¾ÀÏÄêÓÃÒ©¡¿ÀÏÄ껼ÕßÓÃÒ©×üõ¡£

¡¾Ò©ÎïÏ໥×÷Óá¿¿¨ÂíÎ÷ƽ£ºÓ뱾ƷºÏÓÃʱ¿ÉÒýÆð¿¨ÂíÎ÷ƽˮƽÉý¸ß £¬±ØÐëºÏÓÃʱӦ¼à²âѪ½¬Öп¨ÂíÎ÷ƽŨ¶È¡  £»ª·¨ÁîºÍ¿¹ÄýÒ©ÎÓ뱾ƷºÏÓÃʱÔö³¤ÄýѪøԭ¹¦·ò¡£

¡¾Ò©Îï¹ýÁ¿¡¿Ï´Î¸ £¬ÎÞÌØÊâ½â¶¾Ò©Îï £¬ÑªÒºÍ¸ÎöºÍ¸¹Ä¤Í¸Îö²»ÄÜÓÐЧ½«±¾Æ·¶Ï¸ù¡£

¡¾Ò©Àí¶¾Àí¡¿Ò©Àí×÷Ó㺱¾Æ·Îª¿Ú·þµÚÈý´úÍ·æß¾úËØ £¬¿¹¾úÆ×¹ã £¬¶Ô²¿ÃŸïÀ¼ÊÏÑôÐÔ¾ú¼°ÒõÐÔ¾ú¾ùÓµÓп¹¾ú»îÐÔ £¬³ö¸ñÊǶԸïÀ¼ÊÏÑôÐÔ¾úÖеÄÁ´Çò¾ú(³¦Çò¾úÖ®±í)¡¢·ÎÑ×Çò¾ú £¬¸ïÀ¼ÊÏÒõÐÔ¾úÖеÄÁÜÇò¾ú¡¢²¼À¼ººÊÏÇò¾ú¡¢´ó³¦¾ú¡¢¿ËÀײ®ÊÏÊô¡¢É³À×ÊÏÊô¡¢±äÐθ˾úÊô¡¢Á÷¸Ð¸Ë¾úµÅ×нÏÇ¿µÄ¿¹¾ú×÷Óà £¬Æä×÷ÓûúÔìΪ×èֹϸ¾úϸ°û±ÚµÄºÏ³É £¬Æä×÷ÓõãÒòϸ¾úµÄÖÖÀà¶øÒì £¬ÓëÇàÃ¹ËØ½áºÏµ°°×(PBP£©ÖÐPBP1(1a £¬1b £¬1c)ÒÔ¼°PBP3ÓнϸßÇ׺ÍÐÔ¡£±¾Æ·¶Ô¸÷Ààϸ¾ú²úÉúµÄ¦Â-ÄÚõ£°·Ã¸ÓµÓнÏÇ¿µÄ²»±äÐÔ¡£

       ÉúÖ³¶¾ÐÔ£ºSD´óÊóÔÚ»³Ì¥Ç°ºÍ»³Ì¥³õÆÚ¿Ú·þ¸øÒ©100¡«1000mg/kg £¬ÔÚÆ÷¹ÙÐÎ³ÉÆÚ¡¢Î§²úÆÚ¡¢²¸ÈéÆÚ¿Ú·þ¸øÒ©320¡«3200mg/kg £¬¶Ô´óÊóÉúÓýÁ¦Î´¼ûÓ°Ïì £¬Î´³öÏÖÖ»û×÷Óà £¬ÐÂÉúÓ×ÊóµÄ³É³¤¡¢·¢ÓýºÍÉúÖ³ÄÜÁ¦Ò²Î´·¢ÏÖÒì³£¡£

¡¾Ò©´ú¶¯Á¦Ñ§¡¿¾ÝPDR57°æ£ºÍ·æß¿Ëë¿¿Ú·þºó £¬Æä¾ø¶ÔÉúÎïÀûÓöÈΪ40¡«50% £¬²»ÊÜÒûʳӰÏ졣ͷæß¿Ëë¿Æ¬¼Á200mgµ¥¼Á¿Ú·þ £¬Ñª½¬·åŨ¶ÈΪ3.7¦Ìg/ml £¬µÈ¼ÁÁ¿¿Ú·þÍ·æß¿Ëë¿»ìÐüÒº²úÉúµÄ·åŨ¶È±ÈƬ¼ÁÓâÔ½25%¡«50%¡£Í·æß¿Ëë¿200mg»ìÐüÒººÍ400mg»ìÐüÒº²úÉúµÄ¾ùÔÈ·åŨ¶ÈΪ3¦Ìg/mlºÍ4.6¦Ìg/ml £¬¿Ú·þÍ·æß¿Ëë¿»ìÐüÒº100mgÖÁ400mg £¬¹¦·ò-Ũ¶ÈÇúÏßÏÂÃæ»ý±È¿Ú·þµÈ¼ÁÁ¿Æ¬¼ÁÓâÔ½10%-25% £¬»ìÐüÒº¼ÁÐÍ´úÌæÆ¬¼Á¼ÁÐÍÓ¦ÊÔÂǵ½ÆäÔö³¤µÄÎüÊÕÁ¿¡£µ¥¼Á¿Ú·þ200mgƬ¼Á¡¢400mgƬ¼Á¡¢400mg»ìÐüÒºµÄ´ï·å¹¦·òΪ2¡«6Ó×ʱ £¬µ¥¼Á¿Ú·þ200mg»ìÐüÒºµÄ´ï·å¹¦·òΪ2¡«5Ó×ʱ £¬24Ó×ʱÄÚÎüÊÕÒ©ÎïµÄ50%ÒÔÕæÏà´ÓÄòÖÐÅųö¡£ÑªÇåµ°°×½áºÏÂÊΪ65% £¬Â½Ðø·þÒ©14Ìì £¬Î´·¢ÏÖÍ·æß¿Ëë¿ÔÚÌåÄÚÓÐÐî»ý×÷Óà £¬Í·æß¿Ëë¿Ñª½¬°ëË¥ÆÚΪ3¡«4Ó×ʱ £¬µ«ÔÚһЩ×ÔÔ¸Õ߿ɴï9Ó×ʱ £¬Óë¼ÁÐÍÎ޹ء£

         ÌØÊâÈËȺҩ´ú¶¯Á¦Ñ§£ºÀÏÄ껼ÕߣºÎÈ̬ʱ¾ùÔÈAUCs±ÈÕý³£³ÉÄêÈËÔ¼ÓÐ40%µÄÉý¸ß¡£ÉöÖ°Äܲ»È«ÊÜÊÔÕߣº¼¡ôû¶Ï¸ùÂÊΪ20¡«50ml/minʱ £¬Í·æß¿Ë뿾ùÔÈѪÇå°ëË¥ÆÚµ¢¸éÖÁ6.4Ó×ʱ  £»¼¡ôû¶Ï¸ùÂÊΪ5¡«20ml/minʱ £¬Í·æß¿Ë뿾ùÔÈѪÇå°ëË¥ÆÚµ¢¸éÖÁ11.5Ó×ʱ¡£ÑªÒºÍ¸ÎöºÍ¸¹Ä¤Í¸Îö£ºÍ·æß¿Ë뿲»ÄÜÓÐЧµØ´ÓѪÖжϸù¡£µ«Ò²ÓÐÎļþÌáÐÑ £¬ÑªÒºÍ¸ÎöµÄ»¼Õß £¬·þÓÃ400mg¼ÁÁ¿Í·æß¿Ëë¿ £¬ÆäѪÖб䶯Çé¿öºÍ¼¡ôû¶Ï¸ùÂÊˮƽΪ21¡«60ml/minµÄÊÜÊÔÕßÀàËÆ¡£

¡¾Öü²Ø¡¿Õڹ⠣¬ÃÜ·â £¬ÔÚÒõÁ¹´¦(²»³¬¹ý20¡æ)±£Áô¡£

¡¾°ü×°¡¿ÂÁ²­ÆøÅÝÑÛ°ü×° £¬50mg¡Ál2Ƭ/ºÐ¡£

¡¾ÓÐЧÆÚ¡¿24¸öÔ¡£

¡¾Ö´Ðг߶ȡ¿¡¶ÖйúÒ©µä¡·2020Äê°æ¶þ²¿

¡¾ºË×¼Îĺš¿¹úÒ©×¼×ÖH20041379

¡¾ÉÏÊÐÐí¿É³ÖÓÐÈË¡¿Ãû³Æ£ºÉ½Î÷Å·²©ABG̩ʢÔìÒ©ÓÐÏÞ¹«Ë¾

            ×¢²áµØÖ·£ºÉ½Î÷Ê¡´óͬÊо­¼Ã¼¼Êõ¿ª·¢ÇøµÚÒ»Ò½Ò©Ô°Çø

¡¾³ö²úÆóÒµ¡¿ÆóÒµÃû³Æ£ºÉ½Î÷Å·²©ABG̩ʢÔìÒ©ÓÐÏÞ¹«Ë¾

        ³ö²úµØÖ·£ºÉ½Î÷Ê¡´óͬÊо­¼Ã¼¼Êõ¿ª·¢ÇøµÚÒ»Ò½Ò©Ô°Çø

        ÓÊÕþ±àÂ룺037300

        µç»°ºÅÂ룺0352¡ª7290991

        ´«ÕæºÅÂ룺0352¡ª7290990