jk.zdjt.com.png?v=1
3b6887b9b13abeed33bab09928462b69
注射用哌拉西林钠
【成  份】本品重要成份为哌拉西林钠。
【职能主治】合用敏感肠杆菌科细菌、铜绿假单胞菌、不动杆菌属所致的败血症、上尿路及复杂性尿路习染、呼吸路习染、胆路习染、腹腔习染、盆腔习染以及皮肤、软组织习染等。哌拉西林与氨基糖苷类结合利用亦可用于有粒细胞削减症免疫缺点病人的习染。
【规  格】按C23H27N5O7S计2.0g
【核准文号】国药准字H20043868
产品注明

【药品名称】通用名称:注射用哌拉西林钠

        英文名称:Piperacillin Sodium for Injection

        汉语拼音:Zhusheyong Pailaxilinna

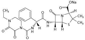
【成份】本品重要成份为哌拉西林钠。其化台甫称为(2S,5R,6R)-3,3-二甲基-6-[(R)-2-(4-乙基-2,3-二氧代-1-哌嗪甲酰氨基)-2-苯乙酰氨基]-7-氧代-4-硫杂-1-氮杂双环[3.2.0]庚烷-2-甲酸钠盐。

     结构式:

注射用哌拉西林钠

     分子式:C23H26N5NaO7S

     分子量:539.54

【性状】本品为白色或类白色粉未或疏松块状物 ;无臭。

【适应症】合用敏感肠杆菌科细菌、铜绿假单胞菌、不动杆菌属所致的败血症、上尿路及复杂性尿路习染、呼吸路习染、胆路习染、腹腔习染、盆腔习染以及皮肤、软组织习染等。哌拉西林与氨基糖苷类结合利用亦可用于有粒细胞削减症免疫缺点病人的习染。

【规格】按C23H26N5NaO7S计2.0g

【用法用量】本品可供静脉滴注和静脉注射。成人中度习染一日8g,分2次静脉滴注﹔严沉习染一次3~4g,每4~6颖厩脉滴注或注射。一日总剂量不超过24g。婴幼儿和12岁以下儿童的剂量为逐日按体沉100~200mg/kg。新生儿体沉低于2kg者,诞生后第1周每12幼时50mg/kg,静脉滴注 ;第2周起50mg/kg,每8幼时1次。新生儿体沉2kg以上者诞生后第1周每8幼时50mg/kg,静脉滴注 ;1周以上者每6幼时50mg/kg。

【不良反映】1、过敏反映:青霉素类药物过敏反映较常见,蕴含荨麻疹等各类皮疹、白细胞削减、间质性肾炎、哮喘产生和血清病型反映,严沉者如过敏性休克偶见 ;过敏性休克一旦产生,必须当场急救,予以维吃禅路通顺、吸氧及给用肾上腺素、糖皮质激素等医治措施。2、部门症状:部门注射部位疼痛、血栓性静脉炎等。3、消化路症状:腹泻、稀便、恶心、呕吐等假膜性肠炎罕见。4、个别患者可出现胆汁淤积性黄疸。5、中枢神经系统症状:头痛、头晕和困倦等。6、肾职能减退者利用大剂量时,因脑脊液浓度增高,出现青霉素脑病,故此时应按肾职能进行剂量调整。7、其他:想珠菌二沉习染、出血等。

【禁忌】有青霉素类药物过敏史或青霉素皮肤试验阳性患者禁用。

【当苦衷项】1、使用本品前需具体询问药物过敏史并进行青霉素皮肤试验,呈阳性反映者禁用。2、对一种青霉素过敏者可能对其他青霉素类药物 ;仇家孢菌素类、头霉素类、灰黄霉素或青霉胺过敏者,对本品也可能过敏。3、本品在少数患者尤其是肾职能不全患者可导致出血,产生后应实时停药并予适当医治﹔肾职能减退者应适当减量。4、对诊断的滋扰:利用本品可引起直接抗球蛋白(Coombs)试验呈阳性,也可出现血尿素氮和血清肌酊升高、高钠血症、低钾血症、血清氨基转移酶和血清乳酸脱氢酶升高、血清胆红素增多。5、有过敏史、出血史、溃疡性结肠炎、克隆病或抗生素有关肠炎者皆应慎用。6、本品不成参与碳酸氢钠溶液中静滴。

【孕妇及哺乳期妇女用药】动物生殖试验未发现本品有侵害,但尚未在孕妇中进行严格对照试验以排除这类药物对胎儿的不良影响,所以孕妇应仅在确有必要时使用本品。少量本品从乳汁平排泄,哺乳期妇女用药时宜暂停哺乳。

【儿童用药】尚不明确。

【老年用药】尚不明确。

【药物相互作用】1、在体表本品与氨基糖甙类药物(阿米卡星、庆大霉素或妥布霉素)合用对铜绿假单胞菌、部门肠杆菌科细菌拥有协同抗菌作用。2、本品与头孢西丁合用,因后者可诱导细菌产生β-内酰胺酶而对铜绿假单胞菌、沙雷菌属、变形杆菌属和肠杆菌属出现拮抗作用。3、与肝素、香豆素、茆满二酮等抗凝血药及非甾体抗炎止痛药合用时可增长出血危险,与栓溶剂合用可产生严沉出血。4、本品与氨基糖甙类抗生素不能同瓶滴注,不然两者的抗菌活性均减弱。

【药物过量】应实时停药并予对症、支持医治。血液透析可断根哌拉西林。

【药理毒理】哌拉西林是半合成青霉素类抗生素,具广谱抗菌作用。哌拉西林对大肠埃希菌、变形杆菌属、沙雷菌属、克雷伯菌属、肠杆菌属、枸橼酸菌属、沙门菌属和志贺菌属等肠杆菌科细菌,以及铜绿假单胞菌、不动杆菌属、流感嗜血杆菌、奈瑟菌属等其他革兰阴性菌均拥有优良抗菌作用。本品对肠球菌属、A组、B组溶血性 链球菌、肺炎链球菌以及不产青霉素酶的葡萄球菌亦拥有肯定抗菌活性。蕴含脆弱拟杆菌、梭状芽孢杆菌等很多厌氧菌也对哌拉西林敏感。哌拉西林的作用机造为通过抑造细菌细胞壁合成阐扬杀菌作用。

【药代动力学】本品口服不吸收。正常人肌内注射本品1g后0.71幼时达血药峰浓度(Cmax)为52.2mg/L,6幼时血药浓度为1.3mg/L。静脉滴注和静脉推注本品1g后即刻血药浓度达58.0mg/L和142.1mg/L,6幼时辰别为0.5mg/L和O.6mg/L。给严沉肾职能侵害病人(内生肌西断根率≤5ml/L)于30分钟内按体沉静脉滴注70mg/kg,1幼时后的血药浓度约为350mg/L。本品的血清蛋白结合率为17%~22%,表观散布容积(Vd)为0.18~0.3L/kg,散布半衰期(t1/2α)为11~20分钟,在骨、心脏等组织和体液平散布优良,在脑膜有炎症时在脑脊液中也可达到相当浓度。正常肾职能者哌拉西林血解除半衰期(t1/2β)为0.6~1.2幼时,中度以上肾职能不全者可耽搁至3.3~5.1幼时,在肝内不代谢。本品系通过肾(肾幼球滤过和肾幼管排泄)和非肾(重要经胆汁)蹊径断根。静脉注射1g后,12幼时尿中排出给药量的49%~68%。肝职能正常者10%~20%的药物经胆汁渗出。很少量药物经乳汁排出。血液透析4幼时可断根给药量的30%~50%。肌内注射前1幼时口服丙磺舒1g,可使血药峰浓度(Cmax)增高30%,血解除半衰期(t1/2β)耽搁30%。

【贮藏】密关,在凉暗(避光并不超过20℃)干燥处保留。

【包装】西猎炜装。10支/盒。

【有效期】24个月

【执行尺度】《中国药典》2020年版二部

【核准文号】国药准字H20043868

【上市许可持有人】名称:山西欧博ABG泰盛造药有限公司

            注册地址:山西省大同市经济技术开发区第一医药园区

【出产企业】企业名称:山西欧博ABG泰盛造药有限公司

        出产地址:山西省大同市经济技术开发区第一医药园区

        邮政编码:037300

        电话号码:0352——7290991

        传真号码:0352——7290990

3b6887b9b13abeed33bab09928462b69
注射用哌拉西林钠
【成  份】本品重要成份为哌拉西林钠。
【职能主治】合用敏感肠杆菌科细菌、铜绿假单胞菌、不动杆菌属所致的败血症、上尿路及复杂性尿路习染、呼吸路习染、胆路习染、腹腔习染、盆腔习染以及皮肤、软组织习染等。哌拉西林与氨基糖苷类结合利用亦可用于有粒细胞削减症免疫缺点病人的习染。
【规  格】按C23H27N5O7S计2.0g
【核准文号】国药准字H20043868
产品注明

【药品名称】通用名称:注射用哌拉西林钠

        英文名称:Piperacillin Sodium for Injection

        汉语拼音:Zhusheyong Pailaxilinna

【成份】本品重要成份为哌拉西林钠。其化台甫称为(2S,5R,6R)-3,3-二甲基-6-[(R)-2-(4-乙基-2,3-二氧代-1-哌嗪甲酰氨基)-2-苯乙酰氨基]-7-氧代-4-硫杂-1-氮杂双环[3.2.0]庚烷-2-甲酸钠盐。

     结构式:

注射用哌拉西林钠

     分子式:C23H26N5NaO7S

     分子量:539.54

【性状】本品为白色或类白色粉未或疏松块状物 ;无臭。

【适应症】合用敏感肠杆菌科细菌、铜绿假单胞菌、不动杆菌属所致的败血症、上尿路及复杂性尿路习染、呼吸路习染、胆路习染、腹腔习染、盆腔习染以及皮肤、软组织习染等。哌拉西林与氨基糖苷类结合利用亦可用于有粒细胞削减症免疫缺点病人的习染。

【规格】按C23H26N5NaO7S计2.0g

【用法用量】本品可供静脉滴注和静脉注射。成人中度习染一日8g,分2次静脉滴注﹔严沉习染一次3~4g,每4~6颖厩脉滴注或注射。一日总剂量不超过24g。婴幼儿和12岁以下儿童的剂量为逐日按体沉100~200mg/kg。新生儿体沉低于2kg者,诞生后第1周每12幼时50mg/kg,静脉滴注 ;第2周起50mg/kg,每8幼时1次。新生儿体沉2kg以上者诞生后第1周每8幼时50mg/kg,静脉滴注 ;1周以上者每6幼时50mg/kg。

【不良反映】1、过敏反映:青霉素类药物过敏反映较常见,蕴含荨麻疹等各类皮疹、白细胞削减、间质性肾炎、哮喘产生和血清病型反映,严沉者如过敏性休克偶见 ;过敏性休克一旦产生,必须当场急救,予以维吃禅路通顺、吸氧及给用肾上腺素、糖皮质激素等医治措施。2、部门症状:部门注射部位疼痛、血栓性静脉炎等。3、消化路症状:腹泻、稀便、恶心、呕吐等假膜性肠炎罕见。4、个别患者可出现胆汁淤积性黄疸。5、中枢神经系统症状:头痛、头晕和困倦等。6、肾职能减退者利用大剂量时,因脑脊液浓度增高,出现青霉素脑病,故此时应按肾职能进行剂量调整。7、其他:想珠菌二沉习染、出血等。

【禁忌】有青霉素类药物过敏史或青霉素皮肤试验阳性患者禁用。

【当苦衷项】1、使用本品前需具体询问药物过敏史并进行青霉素皮肤试验,呈阳性反映者禁用。2、对一种青霉素过敏者可能对其他青霉素类药物 ;仇家孢菌素类、头霉素类、灰黄霉素或青霉胺过敏者,对本品也可能过敏。3、本品在少数患者尤其是肾职能不全患者可导致出血,产生后应实时停药并予适当医治﹔肾职能减退者应适当减量。4、对诊断的滋扰:利用本品可引起直接抗球蛋白(Coombs)试验呈阳性,也可出现血尿素氮和血清肌酊升高、高钠血症、低钾血症、血清氨基转移酶和血清乳酸脱氢酶升高、血清胆红素增多。5、有过敏史、出血史、溃疡性结肠炎、克隆病或抗生素有关肠炎者皆应慎用。6、本品不成参与碳酸氢钠溶液中静滴。

【孕妇及哺乳期妇女用药】动物生殖试验未发现本品有侵害,但尚未在孕妇中进行严格对照试验以排除这类药物对胎儿的不良影响,所以孕妇应仅在确有必要时使用本品。少量本品从乳汁平排泄,哺乳期妇女用药时宜暂停哺乳。

【儿童用药】尚不明确。

【老年用药】尚不明确。

【药物相互作用】1、在体表本品与氨基糖甙类药物(阿米卡星、庆大霉素或妥布霉素)合用对铜绿假单胞菌、部门肠杆菌科细菌拥有协同抗菌作用。2、本品与头孢西丁合用,因后者可诱导细菌产生β-内酰胺酶而对铜绿假单胞菌、沙雷菌属、变形杆菌属和肠杆菌属出现拮抗作用。3、与肝素、香豆素、茆满二酮等抗凝血药及非甾体抗炎止痛药合用时可增长出血危险,与栓溶剂合用可产生严沉出血。4、本品与氨基糖甙类抗生素不能同瓶滴注,不然两者的抗菌活性均减弱。

【药物过量】应实时停药并予对症、支持医治。血液透析可断根哌拉西林。

【药理毒理】哌拉西林是半合成青霉素类抗生素,具广谱抗菌作用。哌拉西林对大肠埃希菌、变形杆菌属、沙雷菌属、克雷伯菌属、肠杆菌属、枸橼酸菌属、沙门菌属和志贺菌属等肠杆菌科细菌,以及铜绿假单胞菌、不动杆菌属、流感嗜血杆菌、奈瑟菌属等其他革兰阴性菌均拥有优良抗菌作用。本品对肠球菌属、A组、B组溶血性 链球菌、肺炎链球菌以及不产青霉素酶的葡萄球菌亦拥有肯定抗菌活性。蕴含脆弱拟杆菌、梭状芽孢杆菌等很多厌氧菌也对哌拉西林敏感。哌拉西林的作用机造为通过抑造细菌细胞壁合成阐扬杀菌作用。

【药代动力学】本品口服不吸收。正常人肌内注射本品1g后0.71幼时达血药峰浓度(Cmax)为52.2mg/L,6幼时血药浓度为1.3mg/L。静脉滴注和静脉推注本品1g后即刻血药浓度达58.0mg/L和142.1mg/L,6幼时辰别为0.5mg/L和O.6mg/L。给严沉肾职能侵害病人(内生肌西断根率≤5ml/L)于30分钟内按体沉静脉滴注70mg/kg,1幼时后的血药浓度约为350mg/L。本品的血清蛋白结合率为17%~22%,表观散布容积(Vd)为0.18~0.3L/kg,散布半衰期(t1/2α)为11~20分钟,在骨、心脏等组织和体液平散布优良,在脑膜有炎症时在脑脊液中也可达到相当浓度。正常肾职能者哌拉西林血解除半衰期(t1/2β)为0.6~1.2幼时,中度以上肾职能不全者可耽搁至3.3~5.1幼时,在肝内不代谢。本品系通过肾(肾幼球滤过和肾幼管排泄)和非肾(重要经胆汁)蹊径断根。静脉注射1g后,12幼时尿中排出给药量的49%~68%。肝职能正常者10%~20%的药物经胆汁渗出。很少量药物经乳汁排出。血液透析4幼时可断根给药量的30%~50%。肌内注射前1幼时口服丙磺舒1g,可使血药峰浓度(Cmax)增高30%,血解除半衰期(t1/2β)耽搁30%。

【贮藏】密关,在凉暗(避光并不超过20℃)干燥处保留。

【包装】西猎炜装。10支/盒。

【有效期】24个月

【执行尺度】《中国药典》2020年版二部

【核准文号】国药准字H20043868

【上市许可持有人】名称:山西欧博ABG泰盛造药有限公司

            注册地址:山西省大同市经济技术开发区第一医药园区

【出产企业】企业名称:山西欧博ABG泰盛造药有限公司

        出产地址:山西省大同市经济技术开发区第一医药园区

        邮政编码:037300

        电话号码:0352——7290991

        传真号码:0352——7290990